ГОСТ 33103.1-2017 Биотопливо твердое. Технические характеристики и классы топлива. Часть 1. Общие требования
ГОСТ
Скачать ГОСТ в PDF или DOC бесплатно
Основная информация
Обозначение:
ГОСТ 33103.1-2017
Статус:
Действует
Тип:
ГОСТ
Название русское:
Биотопливо твердое. Технические характеристики и классы топлива. Часть 1. Общие требования
Название английское:
Solid biofuel. Fuel specifications and classes. Part 1. General requirements
Даты и сроки
Дата регистрации:
01-30-17
Дата издания:
08-10-17
Дата введения в действие:
01-01-18
Дата завершения срока действия:
-
Применение и описание
Область и условия применения:
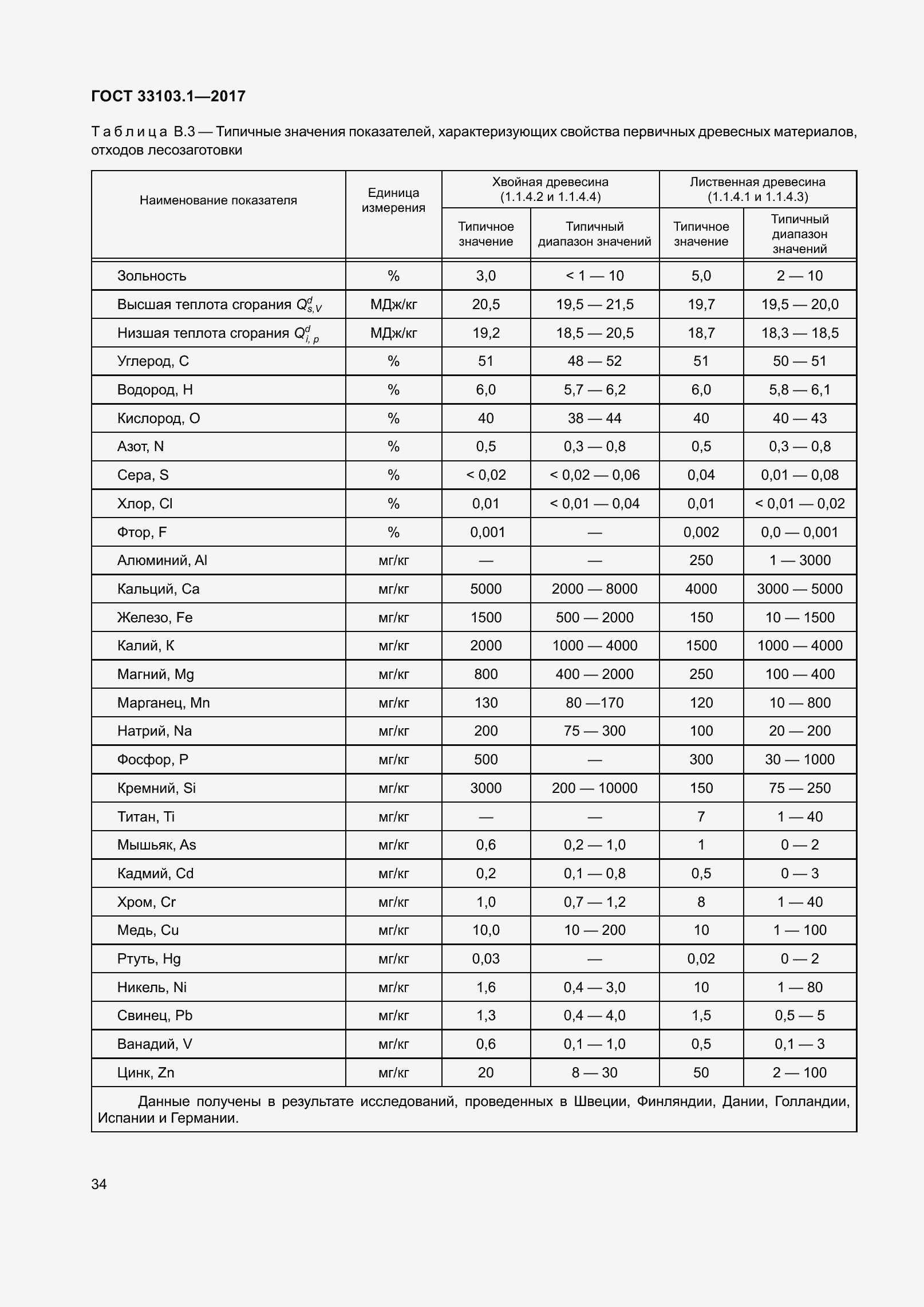
Настоящий стандарт устанавливает технические характеристики (показатели, характеризующие свойства) твердого биотоплива и градацию технических характеристик (далее – классы) с целью классификации твердого биотоплива в зависимости от его свойств. Настоящий стандарт распространяется на твердое биотопливо из сырья и материалов следующего природного и промышленного происхождения: a) лесная промышленность и разведение декоративных деревьев и кустарников; b) сельское хозяйство, садоводство и овощеводство; c) культивирование водных организмов. Материалы, подвергшиеся химической обработке, не должны содержать органические соединения, в состав которых входят галогены, а также тяжелые металлы в количестве большем, чем типичные содержания металлов в необработанных материалах (приложение В) или содержания металлов, типичные для страны, из которой происходит материал
Связи и замены
Заменяющий:
-
Взамен:
ГОСТ 33103.1-2014
Описание стандарта
ГОСТ 33103.1-2017 Биотопливо твердое. Технические характеристики и классы топлива. Часть 1. Общие требования
Страницы стандарта



























































Приложение №1: Поправка к ГОСТ 33103.1-2017 Обозначение: Поправка к ГОСТ 33103.1-2017 Дата введения в действие: 15.02.2023
