ГОСТ 22985-2017 Газы углеводородные сжиженные. Метод определения сероводорода, меркаптановой серы и серооксида углерода
ГОСТ
Скачать ГОСТ в PDF или DOC бесплатно
Основная информация
Обозначение:
ГОСТ 22985-2017
Статус:
Действует
Тип:
ГОСТ
Название русское:
Газы углеводородные сжиженные. Метод определения сероводорода, меркаптановой серы и серооксида углерода
Название английское:
Liquefied petroleum gases. Method for determination of hydrogen sulfide, mercaptan sulfur and carbon sulfoxide
Даты и сроки
Дата регистрации:
06-07-17
Дата издания:
09-27-19
Дата введения в действие:
07-01-19
Дата завершения срока действия:
-
Применение и описание
Область и условия применения:
Настоящий стандарт устанавливает метод определения сероводорода и меркаптановой серы при их массовой доле от 0,0002% до 2% в сжиженных углеводородных газах (СУГ). Настоящий стандарт можно использовать также для определения содержания серооксида углерода (карбонилсульфида) при массовой доле от 0,0002% до 0,5%, присутствующего одновременно с сероводородом и меркаптановой серой в сжиженных углеводородных газах (СУГ)
Связи и замены
Заменяющий:
-
Взамен:
ГОСТ 22985-90
Описание стандарта
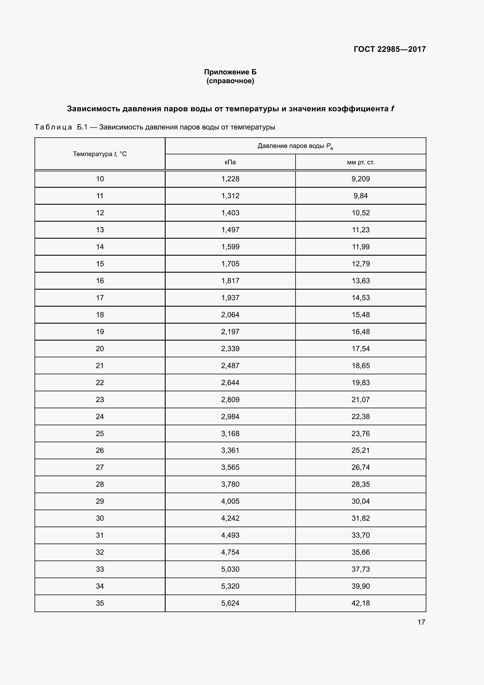
ГОСТ 22985-2017 Газы углеводородные сжиженные. Метод определения сероводорода, меркаптановой серы и серооксида углерода
Страницы стандарта

























Приложение №1: Поправка к ГОСТ 22985-2017 Обозначение: Поправка к ГОСТ 22985-2017 Дата введения в действие: 22.07.2024
