ГОСТ 511-2015 Топливо для двигателей. Моторный метод определения октанового числа
ГОСТ
Скачать ГОСТ в PDF или DOC бесплатно
Основная информация
Обозначение:
ГОСТ 511-2015
Статус:
Заменен
Тип:
ГОСТ
Название русское:
Топливо для двигателей. Моторный метод определения октанового числа
Название английское:
Motor fuels. Motor method for determination of octane number
Даты и сроки
Дата регистрации:
12-10-15
Дата издания:
02-08-16
Дата введения в действие:
01-01-17
Дата завершения срока действия:
07-01-23
Применение и описание
Область и условия применения:
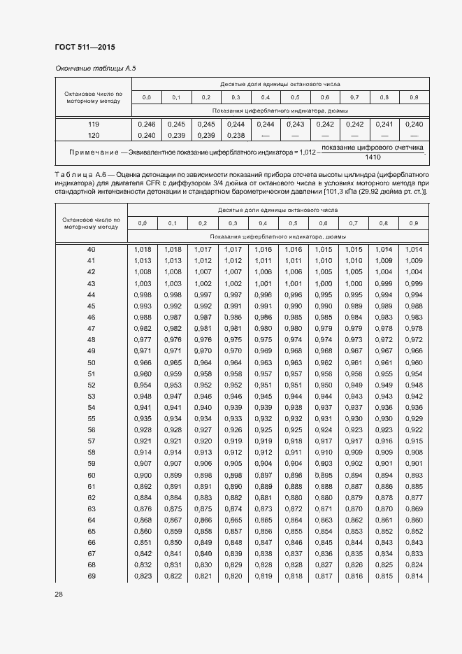
Настоящий стандарт устанавливает моторный метод определения октанового числа как характеристики детонационной стойкости автомобильных и авиационных бензинов и их компонентов, предназначенных для использования в двигателях с искровым зажиганием, на одноцилиндровом четырехтактном двигателе. В качестве стандартного одноцилиндрового двигателя в настоящее время применяют установки отечественного производства типа УИТ и зарубежного производства CFR с переменной степенью сжатия с использованием условной шкалы октановых чисел
Связи и замены
Заменяющий:
ГОСТ 511-2022
Взамен:
ГОСТ 511-82
Описание стандарта
ГОСТ 511-2015 Топливо для двигателей. Моторный метод определения октанового числа
Страницы стандарта














































Приложение №1: Поправка к ГОСТ 511-2015 Обозначение: Поправка к ГОСТ 511-2015 Дата введения в действие: 15.03.2021
