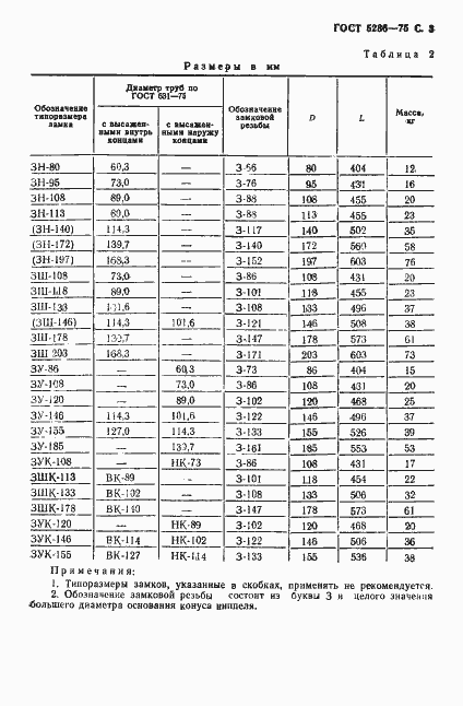
ГОСТ 5286-75 Замки для бурильных труб
ГОСТ
Скачать ГОСТ в PDF или DOC бесплатно
Основная информация
Обозначение:
ГОСТ 5286-75
Статус:
Заменен
Тип:
ГОСТ
Название русское:
Замки для бурильных труб
Название английское:
Drilling tool joints
Даты и сроки
Дата издания:
04-01-94
Дата введения в действие:
01-01-78
Дата завершения срока действия:
07-01-22
Применение и описание
Область и условия применения:
Настоящий стандарт распространяется на замки, предназначенные для соединения бурильных труб
Связи и замены
Заменяющий:
ГОСТ 5286-2022
Взамен:
ГОСТ 5286-58
Изменения и переиздания
Список изменений:
№0 от (рег. ) «Срок действия продлен» №1 от (рег. ) «Срок действия продлен» №2 от (рег. ) «Срок действия продлен» №3 от (рег. ) «Срок действия продлен» №4 от (рег. ) «Срок действия продлен»
Описание стандарта
ГОСТ 5286-75 Замки для бурильных труб
Страницы стандарта


























