ГОСТ Р 56175-2014 Трубы обсадные и насосно-компрессорные для нефтяной и газовой промышленности. Рекомендации по эксплуатации и обслуживанию
ГОСТ Р
Скачать ГОСТ в PDF или DOC бесплатно
Основная информация
Обозначение:
ГОСТ Р 56175-2014
Статус:
Отменен
Тип:
ГОСТ Р
Название русское:
Трубы обсадные и насосно-компрессорные для нефтяной и газовой промышленности. Рекомендации по эксплуатации и обслуживанию
Название английское:
Casing and tubing for petroleum and natural gas industries. Recommendation for care and use
Даты и сроки
Дата издания:
01-15-15
Дата введения в действие:
01-01-15
Дата завершения срока действия:
11-01-18
Применение и описание
Область и условия применения:
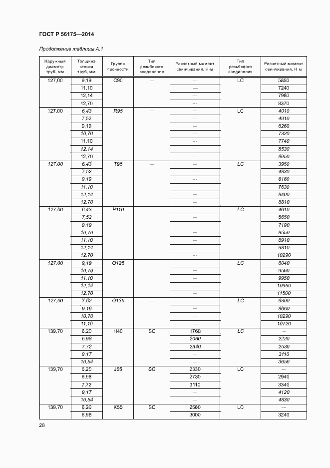
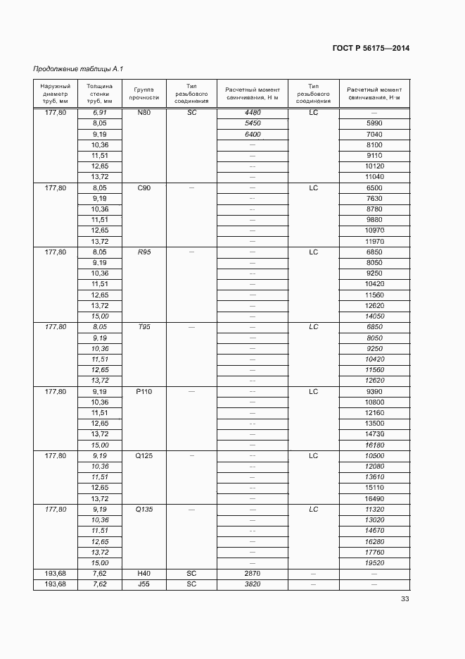
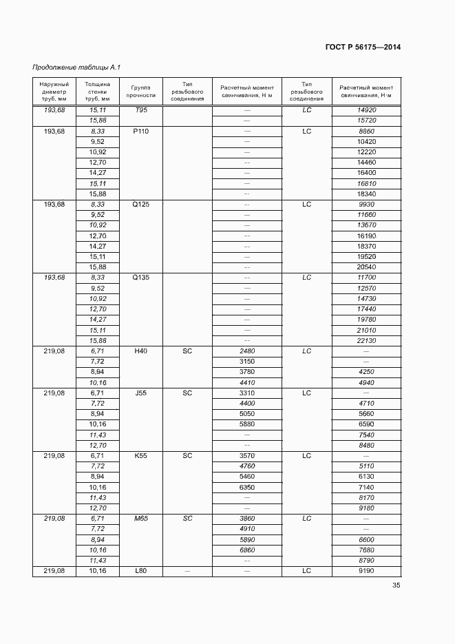
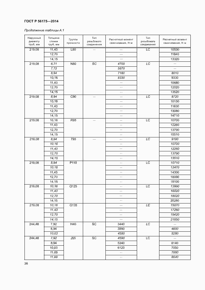
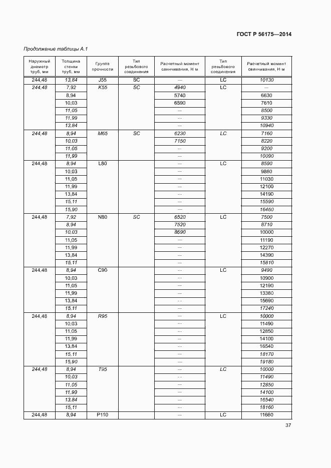
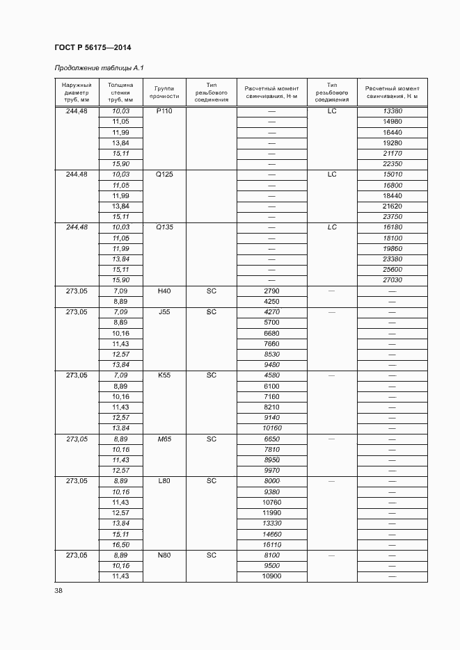
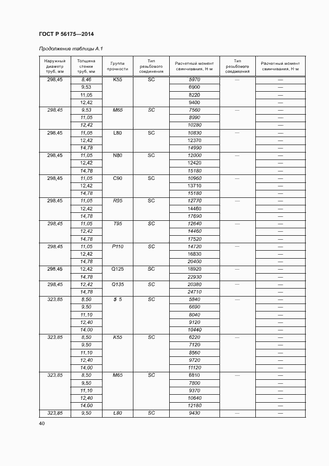
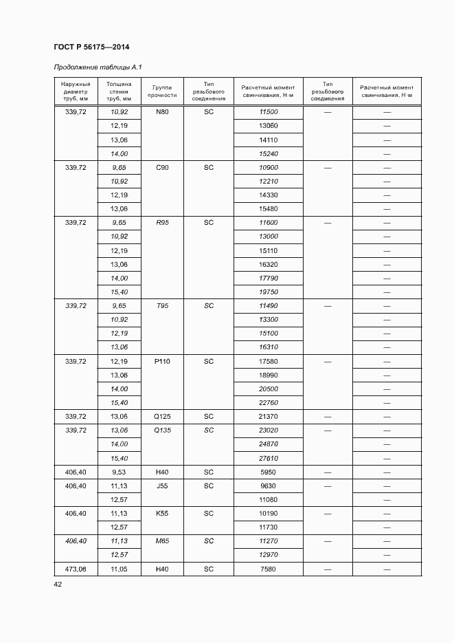
Настоящий стандарт содержит рекомендации по обслуживанию и эксплуатации обсадных и насосно-компрессорных труб, в том числе по порядку спуска и подъема, посадке труб в муфты и свинчиванию в промысловых условиях. Приводит рекомендуемые расход смазки, моменты свинчивания труб размеров, групп прочности и типов резьбовых соединений по ГОСТ Р 53366, а также рекомендации по транспортированию, погрузочно-разгрузочным операциям, хранению, инспекции и сварке в промысловых условиях
Связи и замены
Заменяющий:
-
Изменения и переиздания
Список изменений:
№0 от (рег. ) «Текстовое изменение; Изменено заглавие» №1 от (рег. ) «Текстовое изменение; Изменены ссылочные НД»
Описание стандарта
ГОСТ Р 56175-2014 Трубы обсадные и насосно-компрессорные для нефтяной и газовой промышленности. Рекомендации по эксплуатации и обслуживанию
Страницы стандарта




































































Приложение №2: Изменение №1 к ГОСТ Р 56175-2014 Обозначение: Изменение №1 к ГОСТ Р 56175-2014 Дата введения в действие: 01.09.2017

Приложение №2: Изменение №1 к ГОСТ Р 56175-2014 Обозначение: Изменение №1 к ГОСТ Р 56175-2014 Дата введения в действие: 01.09.2017

Приложение №2: Изменение №1 к ГОСТ Р 56175-2014 Обозначение: Изменение №1 к ГОСТ Р 56175-2014 Дата введения в действие: 01.09.2017

Приложение №2: Изменение №1 к ГОСТ Р 56175-2014 Обозначение: Изменение №1 к ГОСТ Р 56175-2014 Дата введения в действие: 01.09.2017

Приложение №2: Изменение №1 к ГОСТ Р 56175-2014 Обозначение: Изменение №1 к ГОСТ Р 56175-2014 Дата введения в действие: 01.09.2017

Приложение №2: Изменение №1 к ГОСТ Р 56175-2014 Обозначение: Изменение №1 к ГОСТ Р 56175-2014 Дата введения в действие: 01.09.2017
