ГОСТ 33006.2-2014 Нефтяная и газовая промышленность. Оборудование для роторного бурения. Часть 2. Контроль и классификация применяемых элементов бурового инструмента. Общие технические требования и методы контроля
ГОСТ
Скачать ГОСТ в PDF или DOC бесплатно
Основная информация
Обозначение:
ГОСТ 33006.2-2014
Статус:
Действует
Тип:
ГОСТ
Название русское:
Нефтяная и газовая промышленность. Оборудование для роторного бурения. Часть 2. Контроль и классификация применяемых элементов бурового инструмента. Общие технические требования и методы контроля
Название английское:
Petroleum and natural gas industries. Rotary drilling equipment. Part 2. Inspection and classification of used drill stem elements. General technical requirements and control methods
Даты и сроки
Дата регистрации:
12-05-14
Дата издания:
12-15-15
Дата введения в действие:
01-01-16
Дата завершения срока действия:
-
Применение и описание
Область и условия применения:
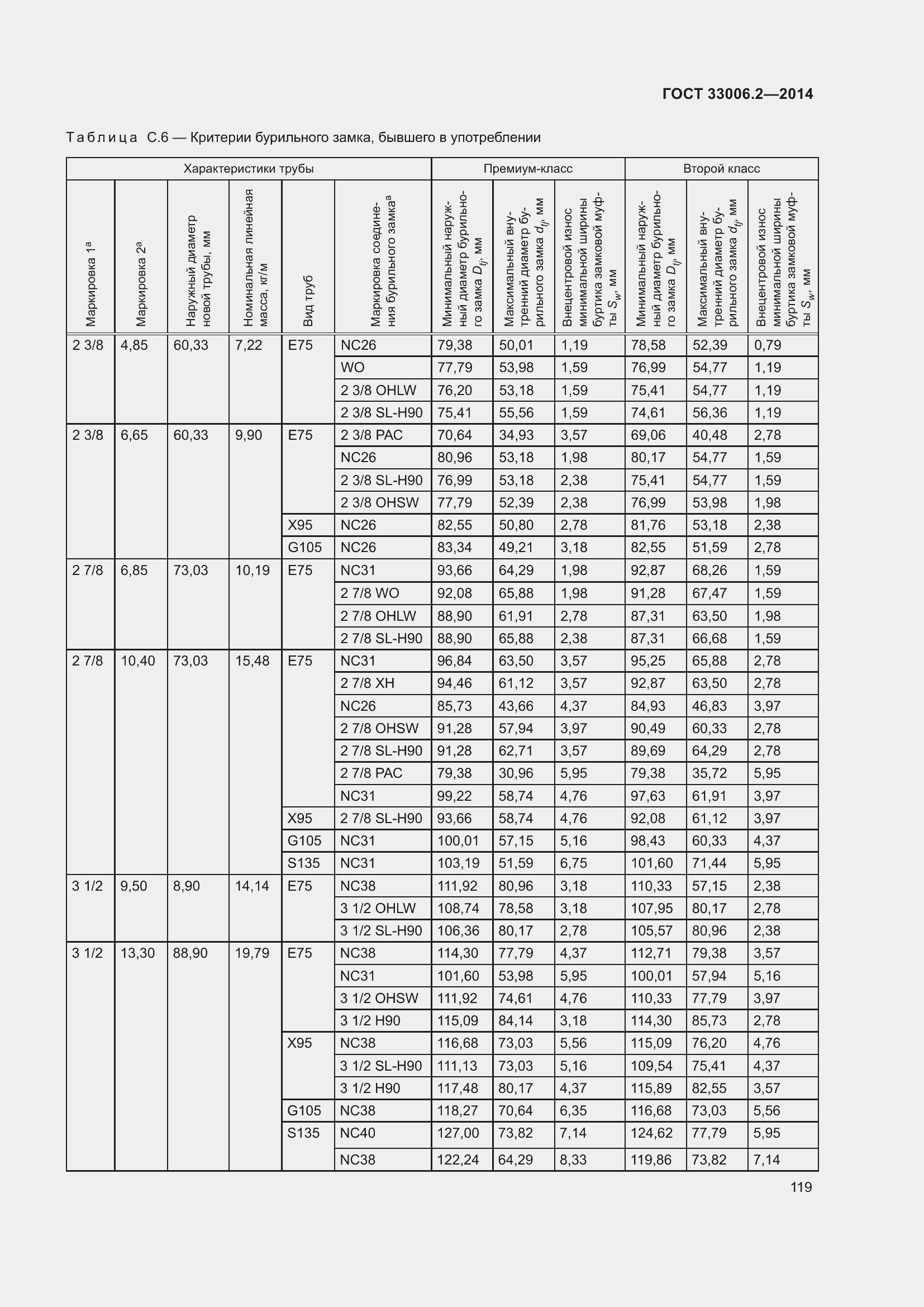
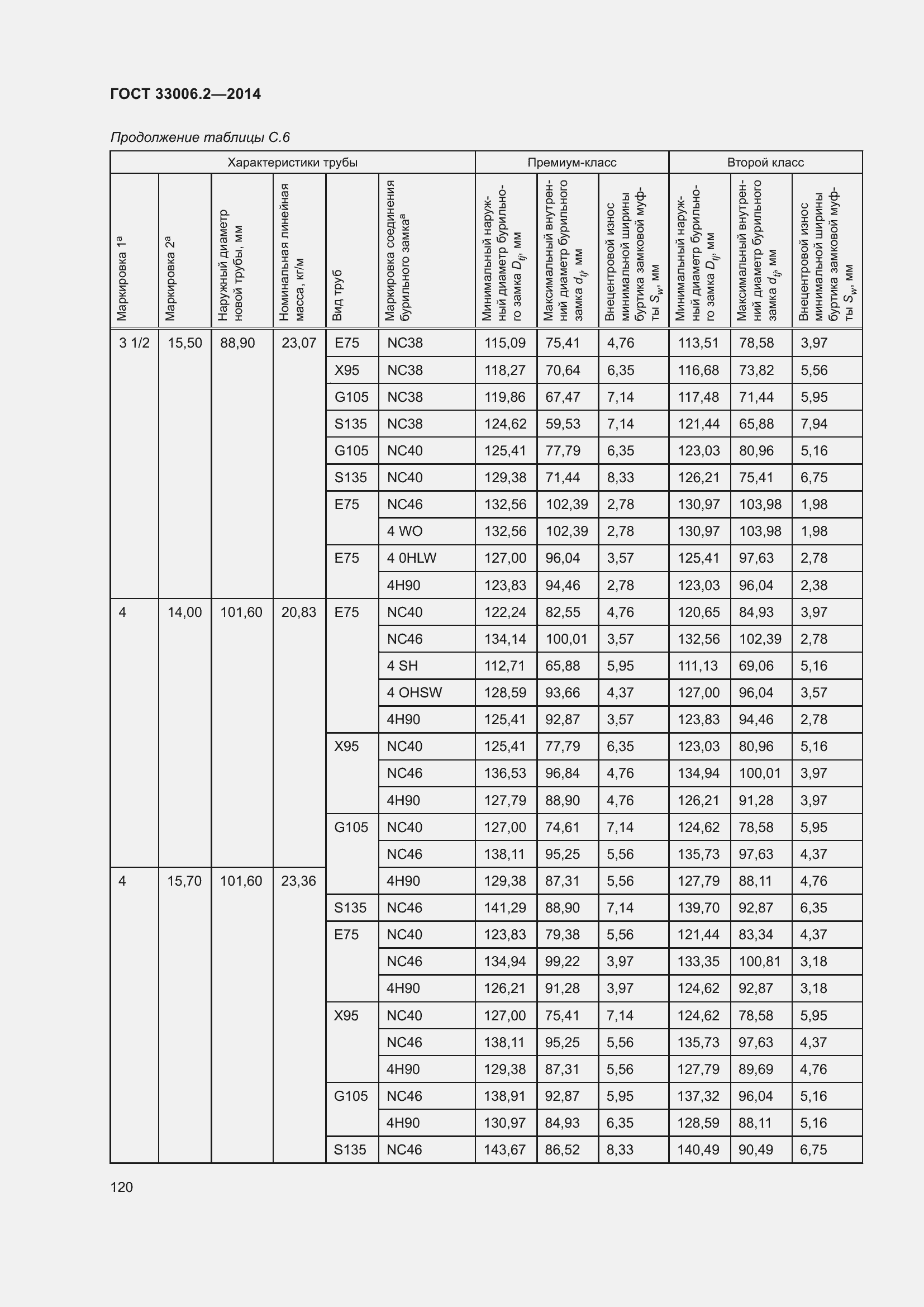
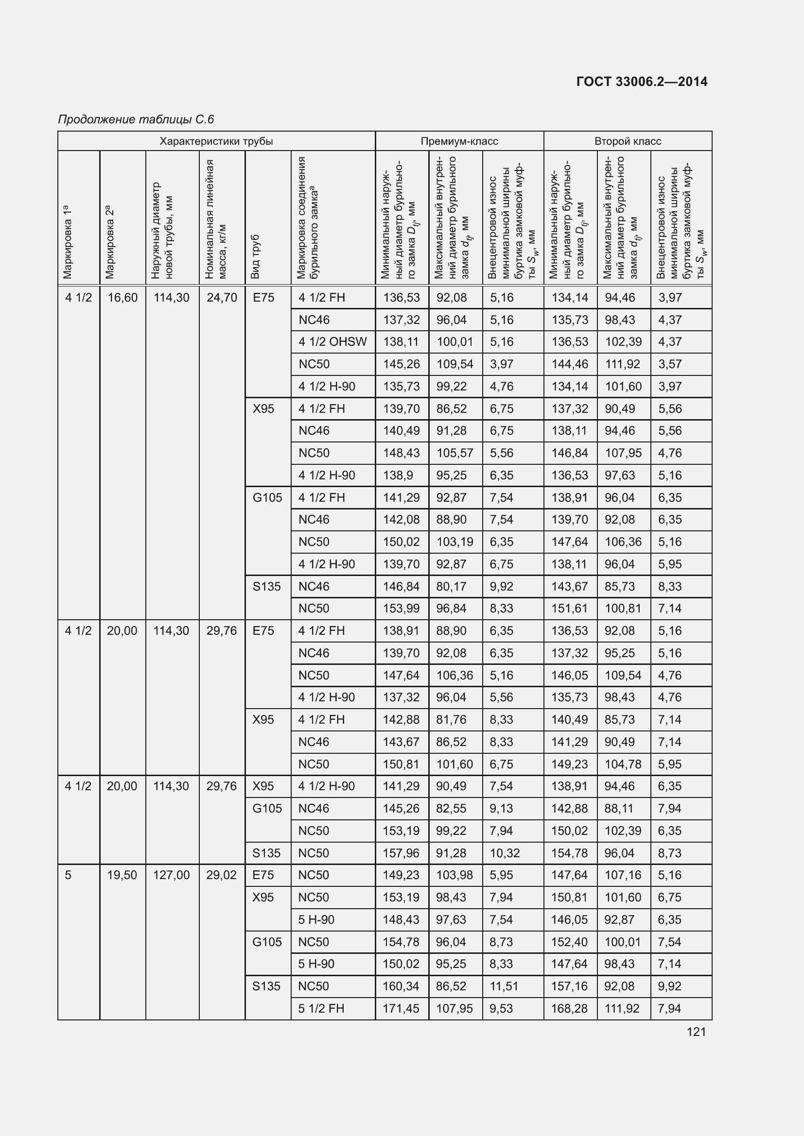
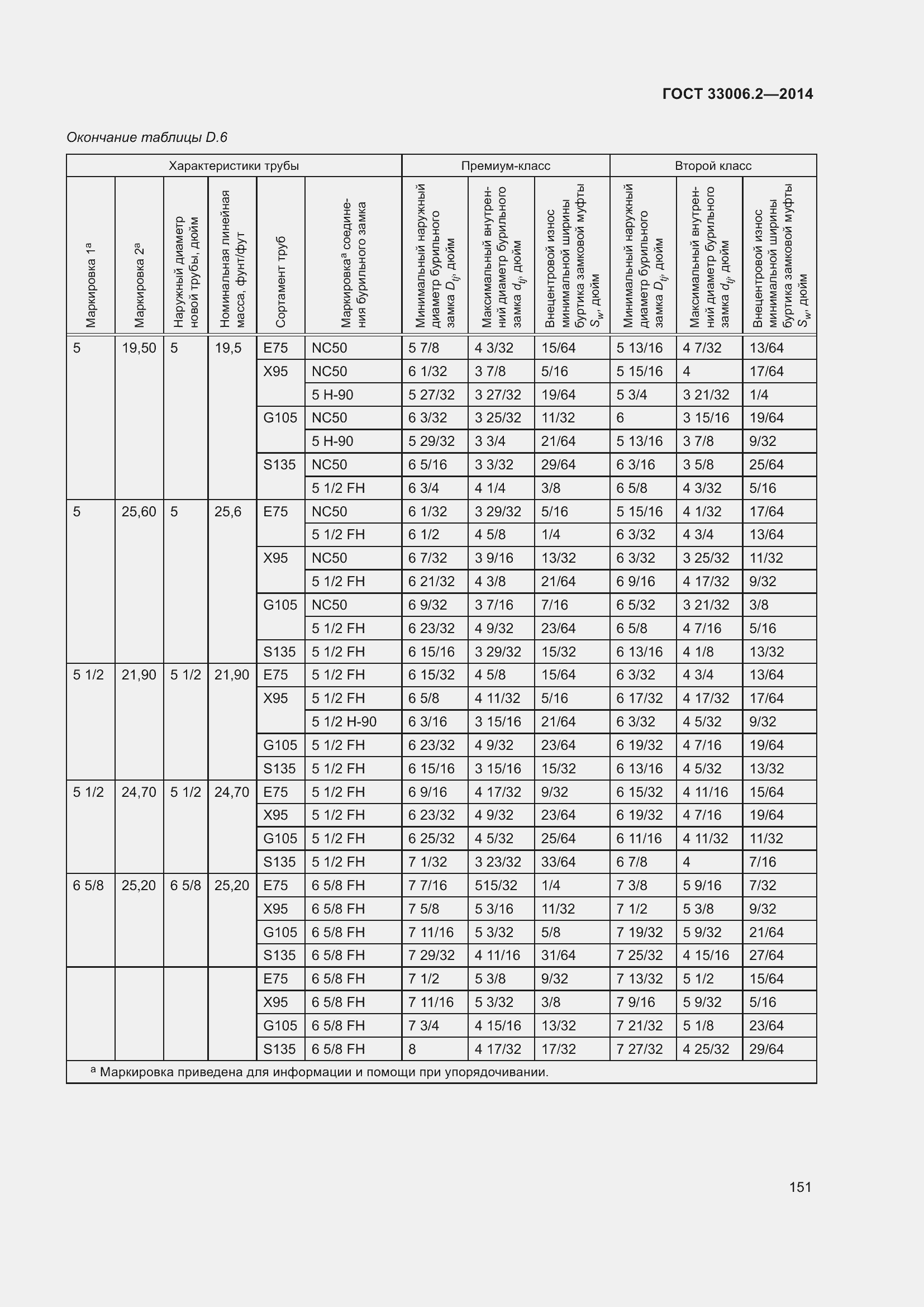
Настоящий стандарт устанавливает требования по контролю для каждого уровня проверок и процедуры для контроля и испытаний элементов бурильной колонны, бывших в эксплуатации. В соответствии с настоящим стандартом бурильная колонна включает следующие элементы: тело бурильной трубы, резьбовое упорное соединение, утяжеленную и толстостенную бурильные трубы, переводники бурильной колонны. Кроме приведенных выше элементов в компоновку низа бурильной колонны (КНБК) могут включаться калибраторы, центраторы, стабилизаторы, расширители, промежуточные опоры для УБТ, обратные клапаны, фильтры, шламометаллоуловители, амортизаторы, протекторные кольца, средства наклонно-направленного бурения, керноприемные устройства и другое специальное оборудование
Связи и замены
Заменяющий:
-
Описание стандарта
ГОСТ 33006.2-2014 Нефтяная и газовая промышленность. Оборудование для роторного бурения. Часть 2. Контроль и классификация применяемых элементов бурового инструмента. Общие технические требования и методы контроля
Страницы стандарта

































































































































































































Приложение №1: Поправка к ГОСТ 33006.2-2014 Обозначение: Поправка к ГОСТ 33006.2-2014 Дата введения в действие: 14.03.2022
