ГОСТ Р 57123-2016 Нефтяная и газовая промышленность. Сооружения нефтегазопромысловые морские. Проектирование с учетом сейсмических условий
ГОСТ Р
Скачать ГОСТ в PDF или DOC бесплатно
Основная информация
Обозначение:
ГОСТ Р 57123-2016
Статус:
Действует
Тип:
ГОСТ Р
Название русское:
Нефтяная и газовая промышленность. Сооружения нефтегазопромысловые морские. Проектирование с учетом сейсмических условий
Название английское:
Petroleum and natural gas industry. Offshore oil and gas field structures. Design under seismic conditions
Даты и сроки
Дата издания:
12-16-19
Дата введения в действие:
06-01-17
Дата завершения срока действия:
-
Применение и описание
Область и условия применения:
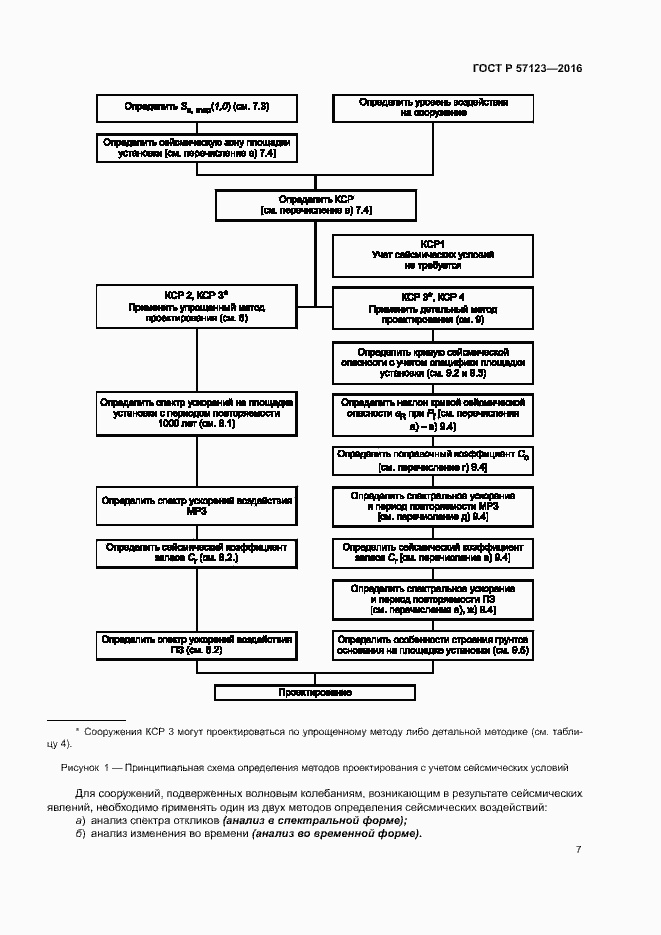
Настоящий стандарт устанавливает требования для определения методик и критериев проектирования с учетом сейсмических условий конструкций морских нефтегазопромысловых сооружений, устанавливаемых на континентальном шельфе морей (в том числе замерзающих) Российской Федерации и предназначенных для бурения скважин, добычи, переработки, хранения и отгрузки продукции скважин, проживания персонала. Устанавливаемые настоящим стандартом требования предназначены для максимально возможного снижения риска для людей, окружающей среды и имущества. Это достигается путем использования: а) методик проектирования сейсмостойких конструкций, которые зависят от уровня воздействия на морские нефтегазопромысловые сооружения (МНГС) и ожидаемого уровня сейсмической активности; б) двухуровневой проверки проектирования сейсмостойких конструкций, при которой конструкции проектируются по двум предельным состояниям: основному и особому (чрезвычайному) предельным состояниям в соответствии с ГОСТ 54483. Для регионов с высоким уровнем сейсмической активности требуется оценка сейсмической опасности с учетом конкретных условий площадки строительства. Для таких случаев применяются процедуры и требования вероятностного анализа сейсмической опасности (ВАСО)
Связи и замены
Заменяющий:
-
Описание стандарта
ГОСТ Р 57123-2016 Нефтяная и газовая промышленность. Сооружения нефтегазопромысловые морские. Проектирование с учетом сейсмических условий
Страницы стандарта































