ГОСТ Р 51763-2001 Приводы штанговых скважинных насосов. Общие технические требования
ГОСТ Р
Скачать ГОСТ в PDF или DOC бесплатно
Основная информация
Обозначение:
ГОСТ Р 51763-2001
Статус:
Отменен
Тип:
ГОСТ Р
Название русское:
Приводы штанговых скважинных насосов. Общие технические требования
Название английское:
Well sucker rod pump drives. General technical requirements
Даты и сроки
Дата издания:
09-19-01
Дата введения в действие:
07-01-02
Дата завершения срока действия:
01-01-14
Применение и описание
Область и условия применения:
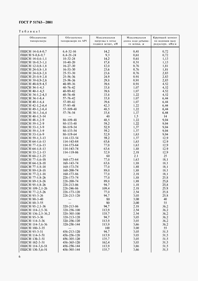
Настоящий стандарт распространяется на индивидуальные приводы с грузовым, пневматическим и иными способами уравновешивания, предназначенные для привода штанговых скважинных насосов, в которых используются механические и гидравлические трансмиссии
Связи и замены
Заменяющий:
-
Изменения и переиздания
Список изменений:
№0 от (рег. ) «Текстовое изменение; Изменено заглавие»
Описание стандарта
ГОСТ Р 51763-2001 Приводы штанговых скважинных насосов. Общие технические требования
Страницы стандарта



















