ГОСТ Р 51896-2002 Насосы скважинные штанговые. Общие технические требования
ГОСТ Р
Скачать ГОСТ в PDF или DOC бесплатно
Основная информация
Обозначение:
ГОСТ Р 51896-2002
Статус:
Отменен
Тип:
ГОСТ Р
Название русское:
Насосы скважинные штанговые. Общие технические требования
Название английское:
Well sucker-rod pumps. General technical requirements
Даты и сроки
Дата издания:
08-28-02
Дата введения в действие:
07-01-03
Дата завершения срока действия:
01-01-14
Применение и описание
Область и условия применения:
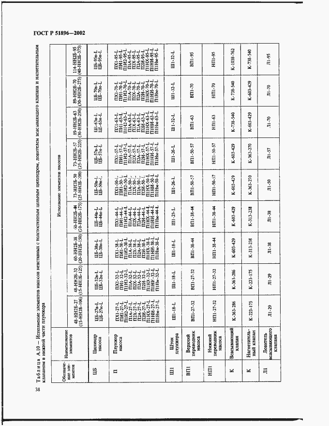
Настоящий стандарт распространяется на скважинные штанговые насосы возвратно-поступательного действия, предназначенные для добычи нефти из скважин при обводненности продукции скважин до 99%, температуре до 403 К (130 град. С), содержании механических примесей до 1,3 г/л, содержании Н2S и СО2 до 200 мг/л, минерализации воды до 200 мг/л и водородном показателе рН 4,0-8,0. Насосы следует применять для эксплуатации скважин в умеренном и холодном климатических районах по ГОСТ 16350
Связи и замены
Заменяющий:
-
Изменения и переиздания
Список изменений:
№0 от (рег. ) «Текстовое изменение; Изменено заглавие»
Описание стандарта
ГОСТ Р 51896-2002 Насосы скважинные штанговые. Общие технические требования
Страницы стандарта














































