ГОСТы >
75.200 Оборудование для переработки нефти, нефтяных продуктов и природного газа >
ГОСТ Р ИСО 13703-2018
ГОСТ Р ИСО 13703-2018 Нефтяная и газовая промышленность. Проектирование и монтаж трубопроводных систем на морских добывающих платформах
ГОСТ Р ИСО
Скачать ГОСТ в PDF или DOC бесплатно
Основная информация
Обозначение:
ГОСТ Р ИСО 13703-2018
Статус:
Действует
Тип:
ГОСТ Р ИСО
Название русское:
Нефтяная и газовая промышленность. Проектирование и монтаж трубопроводных систем на морских добывающих платформах
Название английское:
Petroleum and natural gas industries. Design and installation of piping systems on offshore production platforms
Даты и сроки
Дата издания:
12-28-18
Дата введения в действие:
04-01-19
Дата завершения срока действия:
-
Применение и описание
Область и условия применения:
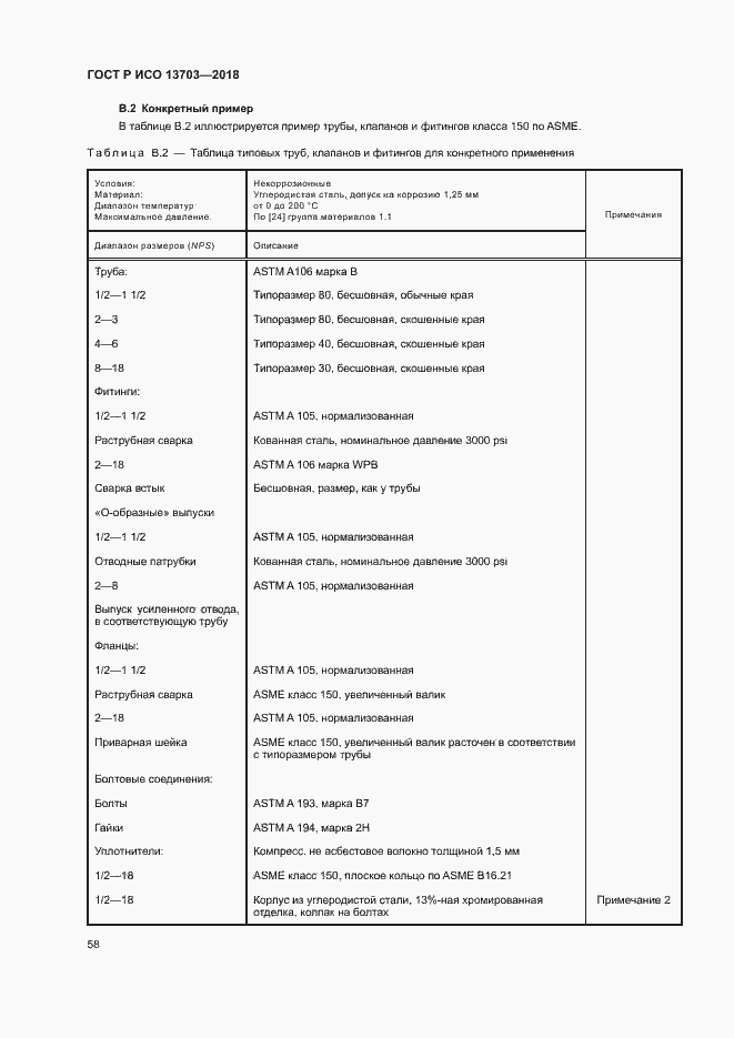
Настоящий стандарт устанавливает минимальные требования и является руководством по проектированию и монтажу новых трубопроводных систем на морских добывающих платформах в нефтяной и газовой промышленности. Он предназначен для трубных систем с максимальным давлением до 69 МПа в пределах диапазона температур материалов, соответствующих требованиям ASME B31.3
Связи и замены
Заменяющий:
-
Описание стандарта
ГОСТ Р ИСО 13703-2018 Нефтяная и газовая промышленность. Проектирование и монтаж трубопроводных систем на морских добывающих платформах
Страницы стандарта




































































