ГОСТы >
75.200 Оборудование для переработки нефти, нефтяных продуктов и природного газа >
ГОСТ Р ИСО 13679-2016
ГОСТ Р ИСО 13679-2016 Трубы стальные обсадные и насосно-компрессорные для нефтяной и газовой промышленности. Методы испытаний резьбовых соединений
ГОСТ Р ИСО
Скачать ГОСТ в PDF или DOC бесплатно
Основная информация
Обозначение:
ГОСТ Р ИСО 13679-2016
Статус:
Отменен
Тип:
ГОСТ Р ИСО
Название русское:
Трубы стальные обсадные и насосно-компрессорные для нефтяной и газовой промышленности. Методы испытаний резьбовых соединений
Название английское:
Casing and tubing steel pipes for the oil and gas industry. Procedures of thread connection testing
Даты и сроки
Дата издания:
04-15-16
Дата введения в действие:
10-01-16
Дата завершения срока действия:
06-01-24
Применение и описание
Область и условия применения:
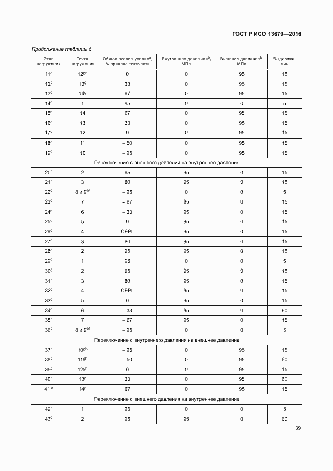
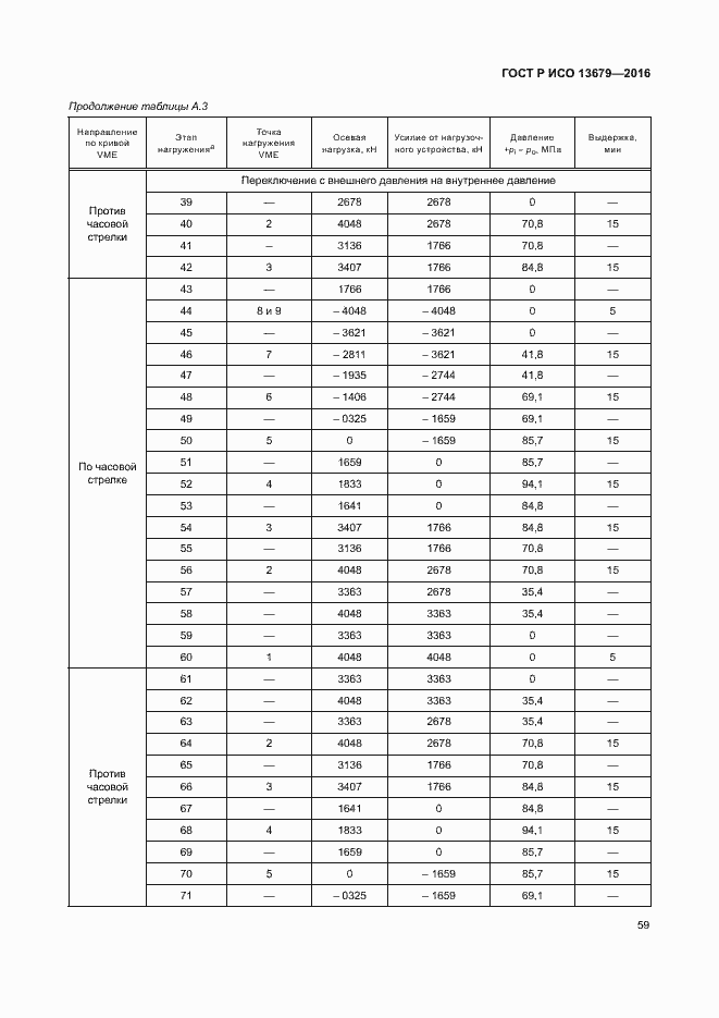
Настоящий стандарт устанавливает минимальный перечень методов проектных испытаний и приемочные критерии испытаний для соединений обсадных и насосно-компрессорных труб, используемых в нефтяной и газовой промышленности. Испытания физических свойств соединений являются частью процесса проектной проверки и предоставляют объективные доказательства соответствия соединения тем испытательным и предельным нагрузкам, которые указаны изготовителем
Связи и замены
Заменяющий:
-
Описание стандарта
ГОСТ Р ИСО 13679-2016 Трубы стальные обсадные и насосно-компрессорные для нефтяной и газовой промышленности. Методы испытаний резьбовых соединений
Страницы стандарта




































































































































