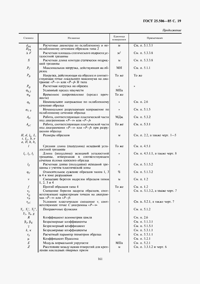
ГОСТ 25.506-85 Расчеты и испытания на прочность. Методы механических испытаний металлов. Определение характеристик трещиностойкости (вязкости разрушения) при статическом нагружении
ГОСТ
Скачать ГОСТ в PDF или DOC бесплатно
Основная информация
Обозначение:
ГОСТ 25.506-85
Статус:
Действует
Тип:
ГОСТ
Название русское:
Расчеты и испытания на прочность. Методы механических испытаний металлов. Определение характеристик трещиностойкости (вязкости разрушения) при статическом нагружении
Название английское:
Design, calculation and strength testing. Methods of mechanical testing of metals. Determination of fracture toughness characteristics under the static loading
Даты и сроки
Дата издания:
10-01-05
Дата введения в действие:
01-01-86
Дата завершения срока действия:
-
Применение и описание
Область и условия применения:
Настоящий стандарт устанавливает методы механических испытаний для определения характеристик трещиностойкости металлов при статическом кратковременном нагружении на образцах толщиной не менее 1 мм при температуре от минус 269 до плюс 600 град. С
Связи и замены
Заменяющий:
-
Описание стандарта
ГОСТ 25.506-85 Расчеты и испытания на прочность. Методы механических испытаний металлов. Определение характеристик трещиностойкости (вязкости разрушения) при статическом нагружении
Страницы стандарта





































