ГОСТ 6012-98 Никель. Методы химико-атомно-эмиссионного спектрального анализа
ГОСТ
Скачать ГОСТ в PDF или DOC бесплатно
Основная информация
Обозначение:
ГОСТ 6012-98
Статус:
Заменен
Тип:
ГОСТ
Название русское:
Никель. Методы химико-атомно-эмиссионного спектрального анализа
Название английское:
Nickel. Methods of chemical-atomic-emission spectral analysis
Даты и сроки
Дата регистрации:
11-12-98
Дата издания:
11-01-01
Дата введения в действие:
01-01-00
Дата завершения срока действия:
01-01-13
Применение и описание
Область и условия применения:
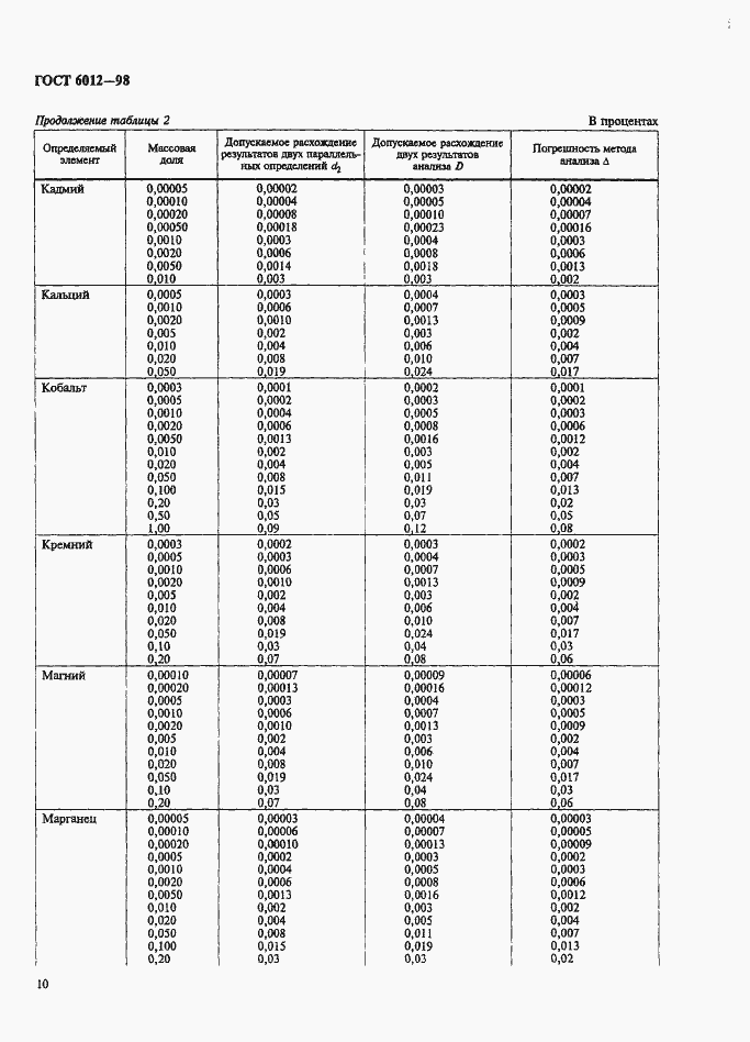
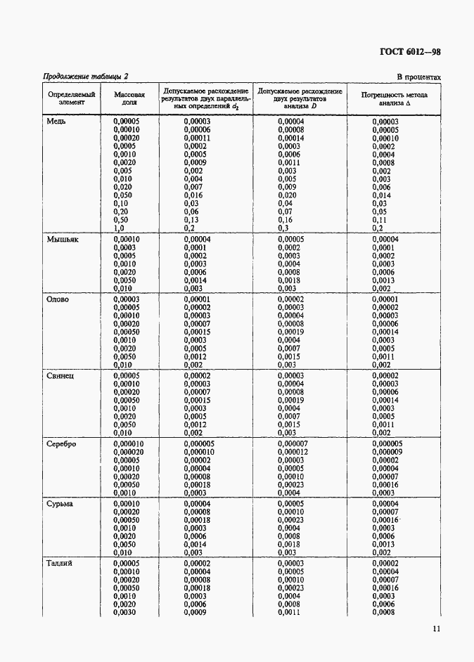
Настоящий стандарт устанавливает химико-атомно-эмиссионные спектральные методы анализа с дугой постоянного тока и индуктивно связанной плазмой в качестве источников возбуждения спектра для определения массовых долей элементов в никеле, никелевом порошке и никелевых сплавах
Приложение №1:
Изменение №1 к ГОСТ 6012-98 Обозначение: Изменение №1 к ГОСТ 6012-98 Дата введения в действие: 01.01.2003
Приложение №2:
Поправка к ГОСТ 6012-98 Обозначение: Поправка к ГОСТ 6012-98 Дата введения в действие: 01.06.2000
Приложение №3:
Поправка к ГОСТ 6012-98 Обозначение: Поправка к ГОСТ 6012-98 Дата введения в действие: 01.10.1999
Связи и замены
Заменяющий:
ГОСТ 6012-2011
Взамен:
ГОСТ 6012-78
Изменения и переиздания
Список изменений:
№0 от (рег. ) «Дата введения перенесена» №0 от (рег. ) «Дата введения перенесена» №1 от (рег. ) «Текстовое изменение; Изменены ссылочные НД»
Описание стандарта
ГОСТ 6012-98 Никель. Методы химико-атомно-эмиссионного спектрального анализа
Страницы стандарта


























Приложение №1: Изменение №1 к ГОСТ 6012-98 Обозначение: Изменение №1 к ГОСТ 6012-98 Дата введения в действие: 01.01.2003

Приложение №1: Изменение №1 к ГОСТ 6012-98 Обозначение: Изменение №1 к ГОСТ 6012-98 Дата введения в действие: 01.01.2003

Приложение №1: Изменение №1 к ГОСТ 6012-98 Обозначение: Изменение №1 к ГОСТ 6012-98 Дата введения в действие: 01.01.2003

Приложение №2: Поправка к ГОСТ 6012-98 Обозначение: Поправка к ГОСТ 6012-98 Дата введения в действие: 01.06.2000

Приложение №3: Поправка к ГОСТ 6012-98 Обозначение: Поправка к ГОСТ 6012-98 Дата введения в действие: 01.10.1999

Приложение №4: Поправка к ГОСТ 6012-98 Обозначение: Поправка к ГОСТ 6012-98 Дата введения в действие: 30.09.1999

Приложение №5: Поправка к ГОСТ 6012-98 Обозначение: Поправка к ГОСТ 6012-98 Дата введения в действие: 31.05.2000
