ГОСТ Р ИСО 4545-4-2015 Материалы металлические. Определение твердости по Кнупу. Часть 4. Таблица значений твердости
ГОСТ Р ИСО
Скачать ГОСТ в PDF или DOC бесплатно
Основная информация
Обозначение:
ГОСТ Р ИСО 4545-4-2015
Статус:
Действует
Тип:
ГОСТ Р ИСО
Название русское:
Материалы металлические. Определение твердости по Кнупу. Часть 4. Таблица значений твердости
Название английское:
Metallic materials. Knoop hardness test. Part 4. Table of hardness values
Даты и сроки
Дата издания:
09-15-15
Дата введения в действие:
01-01-16
Дата завершения срока действия:
-
Применение и описание
Область и условия применения:
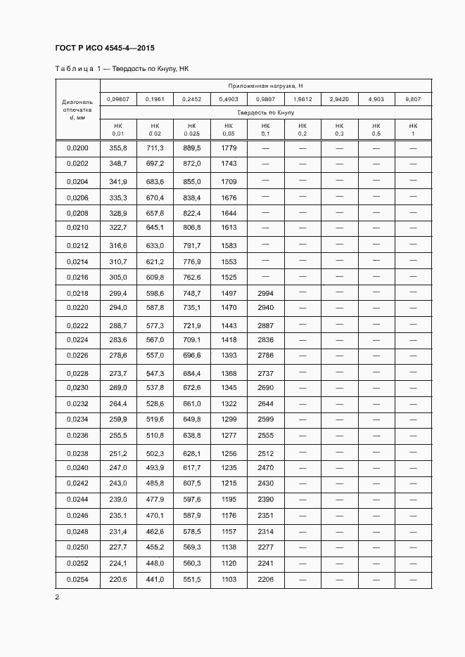
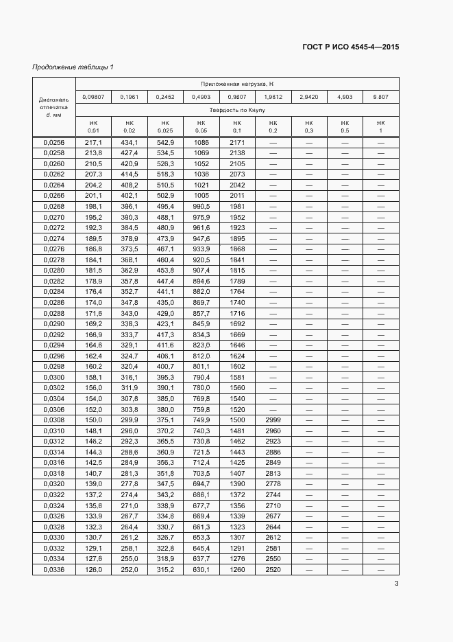
Настоящий стандарт устанавливает метод определения твердости по Кнупу металлических материалов при испытании на плоских поверхностях по ГОСТ Р ИСО 4545-1
Связи и замены
Заменяющий:
-
Описание стандарта
ГОСТ Р ИСО 4545-4-2015 Материалы металлические. Определение твердости по Кнупу. Часть 4. Таблица значений твердости
Страницы стандарта


























