ГОСТ Р ИСО 2566-2-2009 Сталь. Перевод значений относительного удлинения. Часть 2. Сталь аустенитная
ГОСТ Р ИСО
Скачать ГОСТ в PDF или DOC бесплатно
Основная информация
Обозначение:
ГОСТ Р ИСО 2566-2-2009
Статус:
Действует
Тип:
ГОСТ Р ИСО
Название русское:
Сталь. Перевод значений относительного удлинения. Часть 2. Сталь аустенитная
Название английское:
Steel. Сonversion of elongation values. Part 2. Austenitic steel
Даты и сроки
Дата издания:
05-21-10
Дата введения в действие:
06-01-10
Дата завершения срока действия:
-
Применение и описание
Область и условия применения:
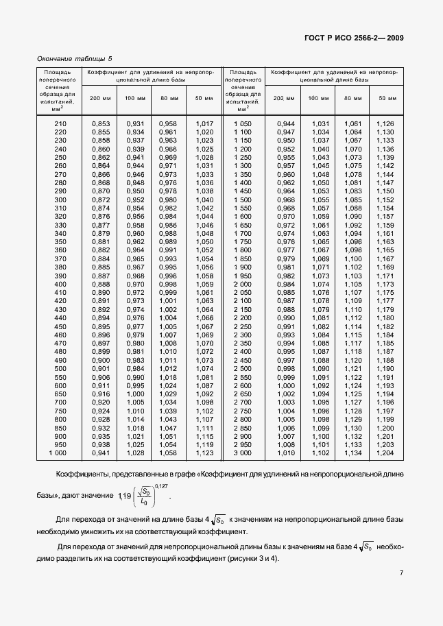
Настоящий стандарт устанавливает способ перевода значений относительного удлинения при комнатной температуре после разрушения образца, полученных на различных пропорциональных и непропорциональных длинах баз, в другие длины баз. Стандарт распространяется на углеродистые, марганцевоуглеродистые, молибденовые и хромомолибденовые стали с пределом прочности на растяжение от 300 до 7500 Н/мм в кв. в горячекатаном и нормализованном состояниях с отпуском или без него. Способ перевода не распространяется на стали: а) обжатые в холодном состоянии; b) закаленные и отпущенные; с) аустенитные. Этот способ перевода не следует использовать, если длина базы превышает значение, равное 25 корня квадратного S индекса 0, а также если отношение ширины к толщине испытуемого образца превышает 20
Связи и замены
Заменяющий:
-
Описание стандарта
ГОСТ Р ИСО 2566-2-2009 Сталь. Перевод значений относительного удлинения. Часть 2. Сталь аустенитная
Страницы стандарта































