ГОСТ Р 57281-2016 Техническая диагностика. Система эксплуатационного мониторинга ресурса оборудования и трубопроводов реакторных установок. Общие требования
ГОСТ Р
Скачать ГОСТ в PDF или DOC бесплатно
Основная информация
Обозначение:
ГОСТ Р 57281-2016
Статус:
Действует
Тип:
ГОСТ Р
Название русское:
Техническая диагностика. Система эксплуатационного мониторинга ресурса оборудования и трубопроводов реакторных установок. Общие требования
Название английское:
Technical diagnostics. Monitoring system of resource of reactor installations equipment and piping. General requirements
Даты и сроки
Дата издания:
12-29-16
Дата введения в действие:
10-01-17
Дата завершения срока действия:
-
Применение и описание
Область и условия применения:
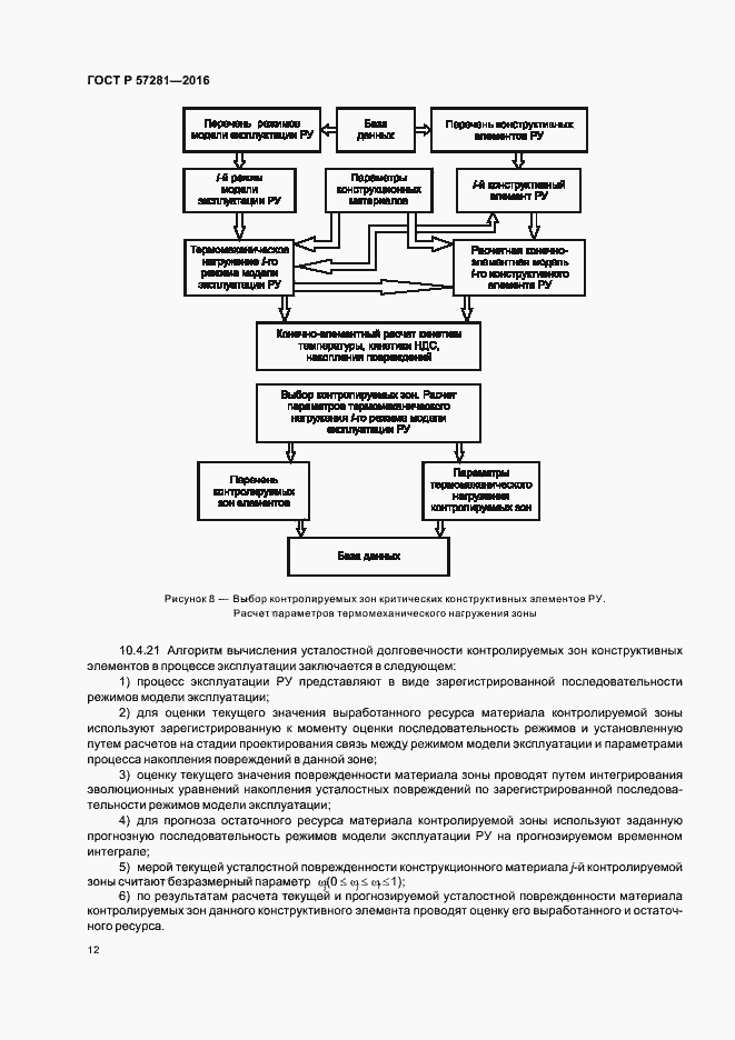
Настоящий документ устанавливает общие требования к системе эксплуатационного мониторинга ресурса оборудования и трубопроводов реакторных установок любого типа
Связи и замены
Заменяющий:
-
Описание стандарта
ГОСТ Р 57281-2016 Техническая диагностика. Система эксплуатационного мониторинга ресурса оборудования и трубопроводов реакторных установок. Общие требования
Страницы стандарта























