ГОСТ 10994-74 Сплавы прецизионные. Марки
ГОСТ
Скачать ГОСТ в PDF или DOC бесплатно
Основная информация
Обозначение:
ГОСТ 10994-74
Статус:
Действует
Тип:
ГОСТ
Название русское:
Сплавы прецизионные. Марки
Название английское:
Precision alloys. Grades
Даты и сроки
Дата издания:
10-01-04
Дата введения в действие:
01-01-75
Дата завершения срока действия:
-
Применение и описание
Область и условия применения:
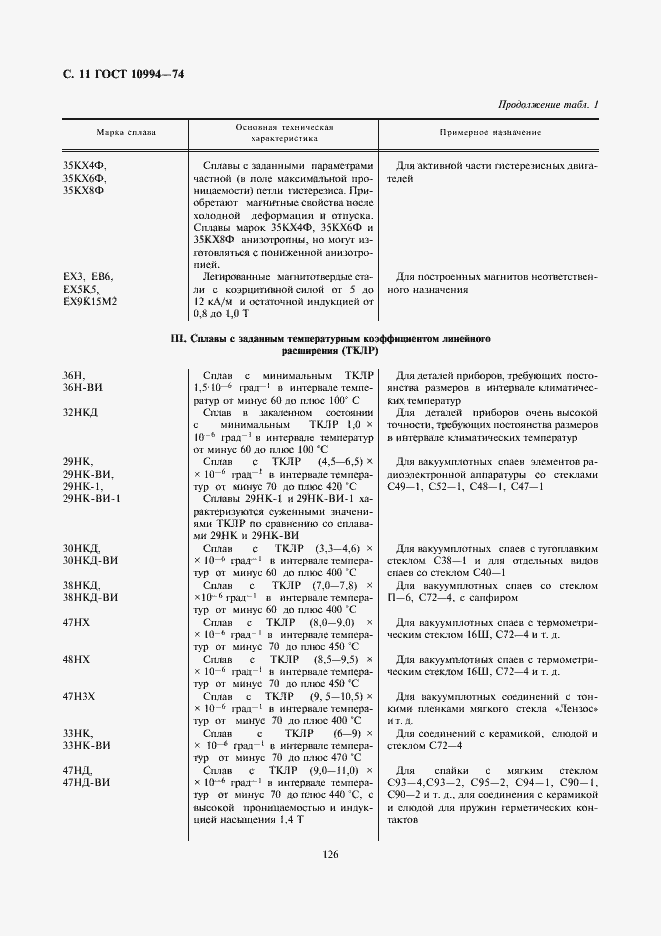
Настоящий стандарт распространяется на прецизионные деформируемые сплавы и устанавливает требования к химическому составу сплавов. К прецизионным сплавам относятся высоколегированные сплавы с заданными физическими и физико-механическими свойствами, требующие в ряде случаев узких пределов содержания элементов в химическом составе, специальной технологии выплавки и специальной обработки
Связи и замены
Заменяющий:
-
Взамен:
ГОСТ 10994-64
Изменения и переиздания
Список изменений:
№0 от (рег. ) «Дата введения перенесена» №1 от (рег. ) «Срок действия продлен» №2 от (рег. ) «Срок действия продлен» №3 от (рег. ) «Срок действия продлен» №4 от (рег. ) «Срок действия продлен» №5 от (рег. ) «Срок действия продлен»
Описание стандарта
ГОСТ 10994-74 Сплавы прецизионные. Марки
Страницы стандарта


















Приложение №6: Поправка к ГОСТ 10994-74 Обозначение: Поправка к ГОСТ 10994-74 Дата введения в действие: 14.03.2002
