ГОСТ Р ИСО 13898-2-2006 Сталь и чугун. Определение содержания никеля, меди и кобальта.Спектрометрический метод атомной эмиссии с индуктивно связанной плазмой. Часть 2. Определение содержания никеля
ГОСТ Р ИСО
Скачать ГОСТ в PDF или DOC бесплатно
Основная информация
Обозначение:
ГОСТ Р ИСО 13898-2-2006
Статус:
Действует
Тип:
ГОСТ Р ИСО
Название русское:
Сталь и чугун. Определение содержания никеля, меди и кобальта.Спектрометрический метод атомной эмиссии с индуктивно связанной плазмой. Часть 2. Определение содержания никеля
Название английское:
Steel and iron. Determination of nickel, copper and cobalt contents. Inductively coupled plasma atomic emission spectrometric method. Part 2. Determination of nickel content
Даты и сроки
Дата издания:
09-19-07
Дата введения в действие:
01-01-08
Дата завершения срока действия:
-
Применение и описание
Область и условия применения:
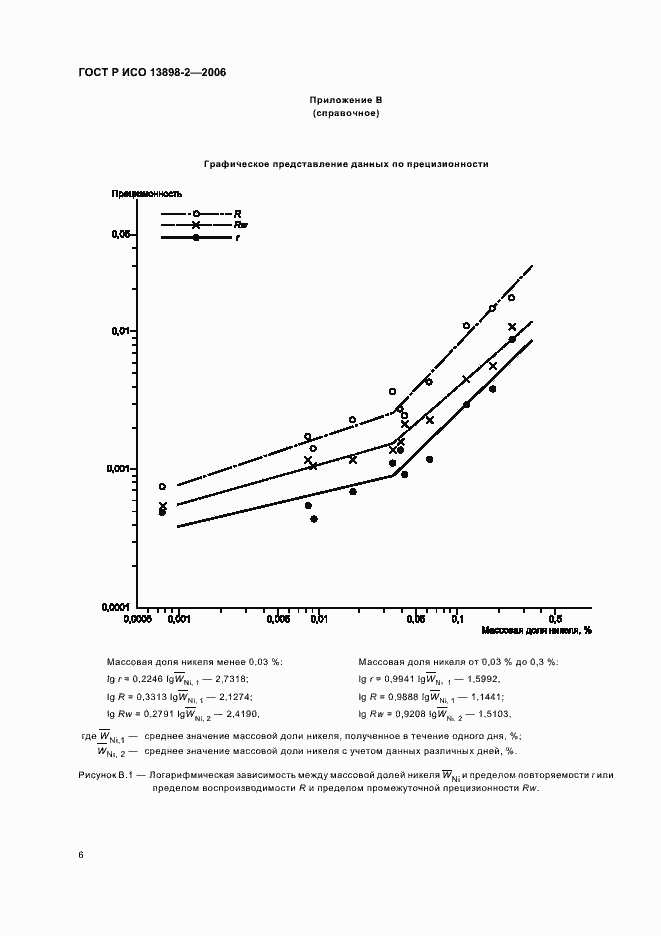
Настоящий стандарт устанавливает спектрометрический атомно-эмиссионный с индуктивно связанной плазмой метод определения никеля в нелегированных сталях и чугунах. Метод применим для определения массовой доли никеля в диапазоне 0,001% - 0,30%
Связи и замены
Заменяющий:
-
Описание стандарта
ГОСТ Р ИСО 13898-2-2006 Сталь и чугун. Определение содержания никеля, меди и кобальта.Спектрометрический метод атомной эмиссии с индуктивно связанной плазмой. Часть 2. Определение содержания никеля
Страницы стандарта










