ГОСТ 22310-93 Ферросплавы. Метод определения гранулометрического состава
ГОСТ
Скачать ГОСТ в PDF или DOC бесплатно
Основная информация
Обозначение:
ГОСТ 22310-93
Статус:
Действует
Тип:
ГОСТ
Название русское:
Ферросплавы. Метод определения гранулометрического состава
Название английское:
Ferroalloys. Method for determination of granulometric composition
Даты и сроки
Дата регистрации:
04-15-94
Дата издания:
08-14-96
Дата введения в действие:
01-01-97
Дата завершения срока действия:
-
Применение и описание
Область и условия применения:
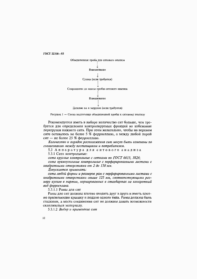
Настоящий стандарт устанавливает методы отбора, подготовки проб и ситового анализа для определения гранулометрического состава партии всех видов ферросплавов, с размером частиц, равным или более 40 мкм
Связи и замены
Заменяющий:
-
Взамен:
ГОСТ 22310-84
Описание стандарта
ГОСТ 22310-93 Ферросплавы. Метод определения гранулометрического состава
Страницы стандарта






















