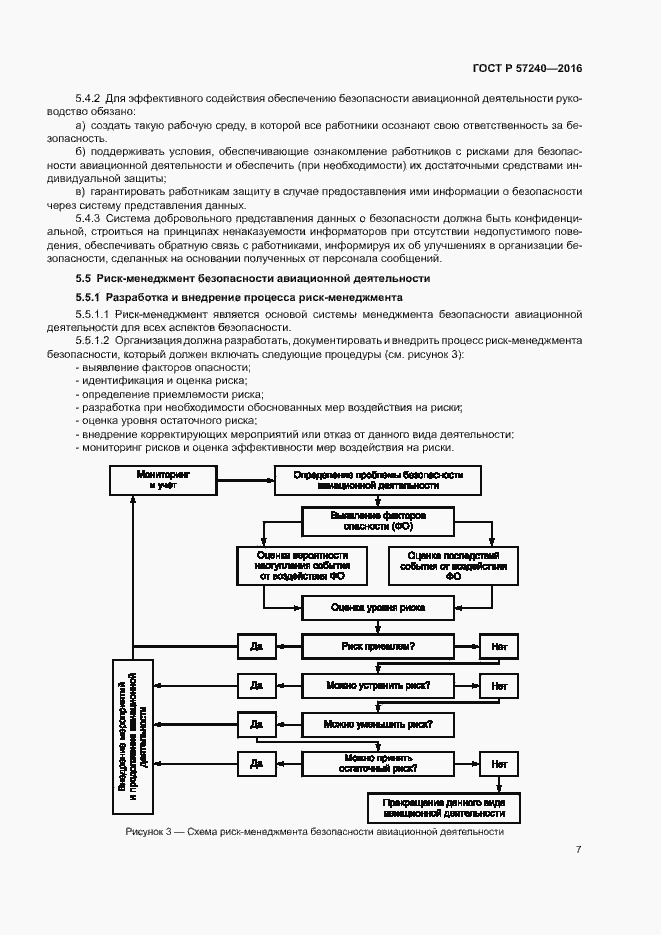
ГОСТ Р 57240-2016 Воздушный транспорт. Менеджмент безопасности авиационной деятельности в гражданской авиации. Основные положения
ГОСТ Р
Скачать ГОСТ в PDF или DOC бесплатно
Основная информация
Обозначение:
ГОСТ Р 57240-2016
Статус:
Действует
Тип:
ГОСТ Р
Название русское:
Воздушный транспорт. Менеджмент безопасности авиационной деятельности в гражданской авиации. Основные положения
Название английское:
Air transport. Management of aviation activity in civil aviation. Basic principles
Даты и сроки
Дата издания:
05-26-20
Дата введения в действие:
07-01-17
Дата завершения срока действия:
-
Применение и описание
Область и условия применения:
Настоящий стандарт определяет требования к системе менеджмента безопасности авиационной деятельности для организаций авиационной отрасли, когда она: а) нуждается в демонстрации своей способности постоянно поддерживать уровень безопасности не ниже приемлемого; б) нацелена на повышение безопасности авиационной деятельности посредством результативного применения системы
Связи и замены
Заменяющий:
-
Описание стандарта
ГОСТ Р 57240-2016 Воздушный транспорт. Менеджмент безопасности авиационной деятельности в гражданской авиации. Основные положения
Страницы стандарта



















