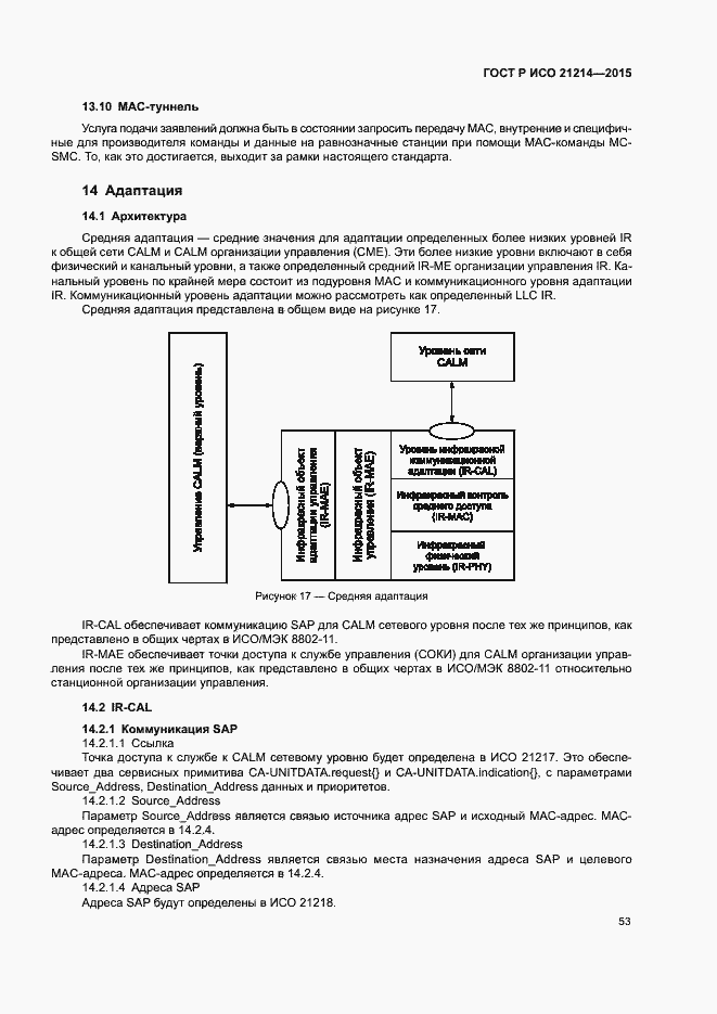
ГОСТ Р ИСО 21214-2015 Интеллектуальные транспортные системы. Радиоинтерфейс непрерывного действия, длинный и средний диапазоны (CALM). Инфракрасные системы
ГОСТ Р ИСО
Скачать ГОСТ в PDF или DOC бесплатно
Основная информация
Обозначение:
ГОСТ Р ИСО 21214-2015
Статус:
Действует
Тип:
ГОСТ Р ИСО
Название русское:
Интеллектуальные транспортные системы. Радиоинтерфейс непрерывного действия, длинный и средний диапазоны (CALM). Инфракрасные системы
Название английское:
Intelligent transport systems. Continuous air interface, long and medium range (CALM). Infra-red systems
Даты и сроки
Дата издания:
02-25-16
Дата введения в действие:
08-01-16
Дата завершения срока действия:
-
Дата последнего изменения:
09-12-18
Применение и описание
Область и условия применения:
Настоящий стандарт определяет интерфейс беспроводной связи, использующий инфракрасные системы диапазона 820-1010 нм._x000D_<br> Настоящий стандарт обеспечивает протоколами и характеристиками беспроводное средне- и высокоскоростное взаимодействие на средних расстояниях в рамках задач ИТС с использование инфракрасных систем
Связи и замены
Заменяющий:
-
Описание стандарта
ГОСТ Р ИСО 21214-2015 Интеллектуальные транспортные системы. Радиоинтерфейс непрерывного действия, длинный и средний диапазоны (CALM). Инфракрасные системы
Страницы стандарта
















































































