ГОСТ 16273.1-2014 Селен технический. Метод спектрального анализа
ГОСТ
Скачать ГОСТ в PDF или DOC бесплатно
Основная информация
Обозначение:
ГОСТ 16273.1-2014
Статус:
Действует
Тип:
ГОСТ
Название русское:
Селен технический. Метод спектрального анализа
Название английское:
Selenium technical. Method of spectral analysis
Даты и сроки
Дата регистрации:
05-30-14
Дата издания:
03-02-15
Дата введения в действие:
09-01-15
Дата завершения срока действия:
-
Применение и описание
Область и условия применения:
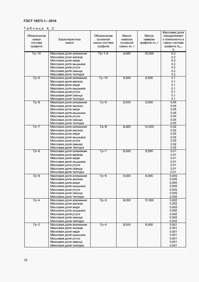
Настоящий стандарт устанавливает спектральные эмиссионные методы измерений массовой доли меди, железа, свинца, теллура, мышьяка, ртути, алюминия, натрия, сурьмы, кальция, магния, калия, серы, кадмия, никеля в техническом селене в диапазонах массовых долей
Связи и замены
Заменяющий:
-
Взамен:
ГОСТ 16273.1-85
Описание стандарта
ГОСТ 16273.1-2014 Селен технический. Метод спектрального анализа
Страницы стандарта















