ГОСТ 6613-86 Сетки проволочные тканые с квадратными ячейками. Технические условия
ГОСТ
Скачать ГОСТ в PDF или DOC бесплатно
Основная информация
Обозначение:
ГОСТ 6613-86
Статус:
Действует
Тип:
ГОСТ
Название русское:
Сетки проволочные тканые с квадратными ячейками. Технические условия
Название английское:
Square meshed woven wire cloths. Specifications
Даты и сроки
Дата издания:
03-01-06
Дата введения в действие:
01-01-88
Дата завершения срока действия:
-
Применение и описание
Область и условия применения:
Настоящий стандарт распространяется на проволочные тканые сетки с квадратными ячейками из цветных металлов и их сплавов, применяемые для контроля и разделения материалов по размеру частиц, фильтрации жидкостей, газов и других целей
Связи и замены
Заменяющий:
-
Взамен:
ГОСТ 3584-73;ГОСТ 6613-73
Изменения и переиздания
Список изменений:
№1 от (рег. ) «Срок действия продлен»
Описание стандарта
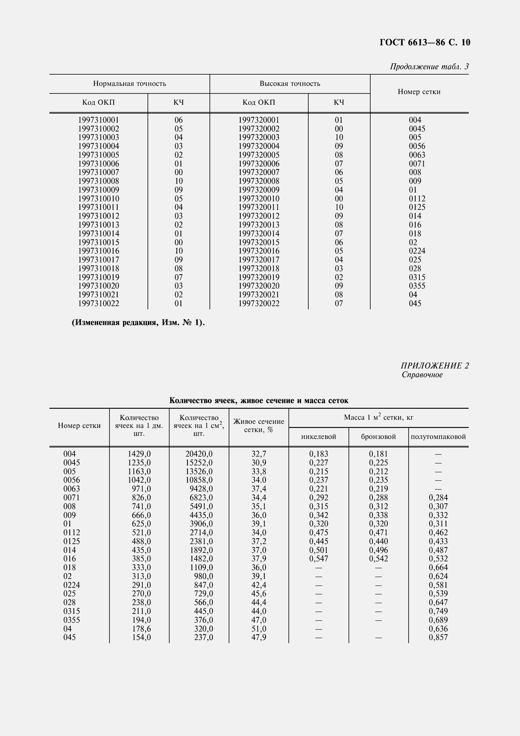
ГОСТ 6613-86 Сетки проволочные тканые с квадратными ячейками. Технические условия
Страницы стандарта













Приложение №2: Поправка к ГОСТ 6613-86 Обозначение: Поправка к ГОСТ 6613-86 Дата введения в действие: 30.01.2024
