ГОСТ Р 8.981-2019 Государственная система обеспечения единства измерений. Стандартные справочные данные. Этан жидкий и газообразный. Термодинамические свойства, коэффициенты динамической вязкости и теплопроводности при температурах от 91 К до 675 К и давлениях до 100 МПа
ГОСТ Р
Скачать ГОСТ в PDF или DOC бесплатно
Основная информация
Обозначение:
ГОСТ Р 8.981-2019
Статус:
Действует
Тип:
ГОСТ Р
Название русское:
Государственная система обеспечения единства измерений. Стандартные справочные данные. Этан жидкий и газообразный. Термодинамические свойства, коэффициенты динамической вязкости и теплопроводности при температурах от 91 К до 675 К и давлениях до 100 МПа
Название английское:
State system for ensuring the uniformity of measurements. Standard reference data. Liquid and gaseous ethane. Thermodynamic properties, dynamic viscosity and thermal conductivity at temperatures from 91 К up to 675 K and pressures up to 100 MPa
Даты и сроки
Дата издания:
12-26-19
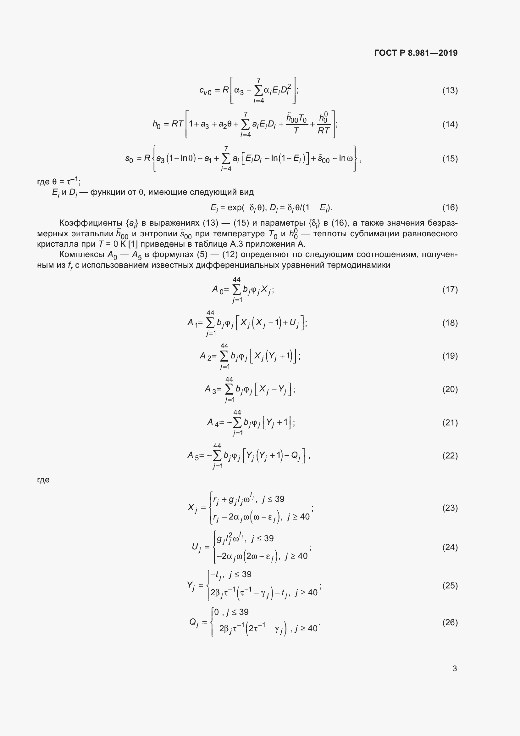
Дата введения в действие:
03-01-20
Дата завершения срока действия:
-
Применение и описание
Область и условия применения:
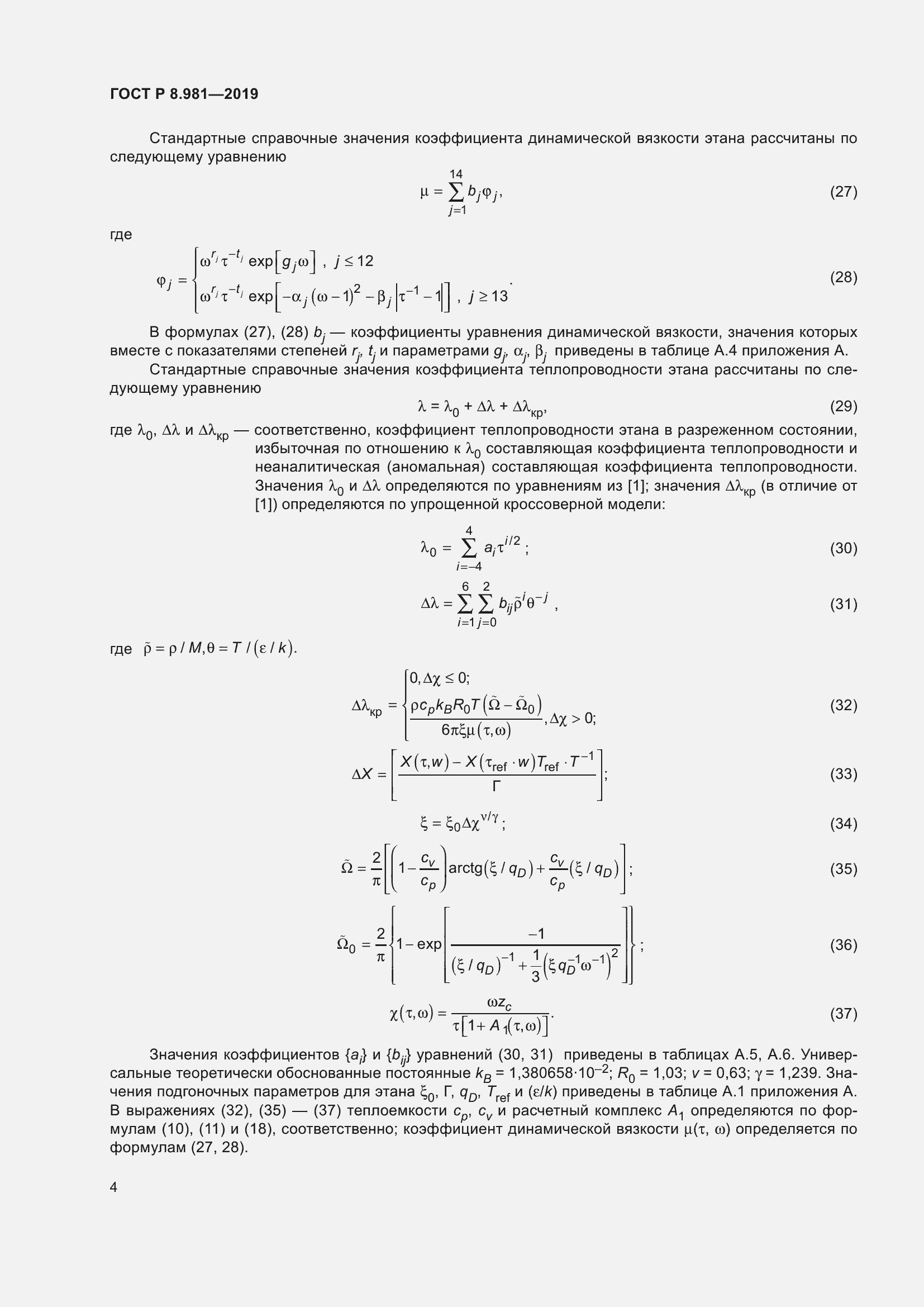
Настоящий стандарт распространяется на жидкий и газообразный этан и устанавливает методы расчетного определения значений стандартных справочных данных по плотности , энтальпии h, энтропии s, изобарной теплоемкости cp, изохорной теплоемкости cv, скорости звука w, коэффициента динамической вязкости мю и коэффициента теплопроводности лямбда для этана как в однофазных областях (газ, жидкость и флюид), так и на линии фазового перехода газ - жидкость (линии насыщения), а также значений давления насыщения ps
Связи и замены
Заменяющий:
-
Описание стандарта
ГОСТ Р 8.981-2019 Государственная система обеспечения единства измерений. Стандартные справочные данные. Этан жидкий и газообразный. Термодинамические свойства, коэффициенты динамической вязкости и теплопроводности при температурах от 91 К до 675 К и давлениях до 100 МПа
Страницы стандарта



















