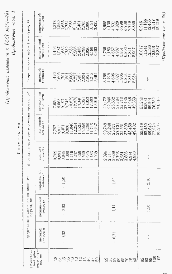
ГОСТ 18351-73 Прутки прессованные из магниевых сплавов. Технические условия
ГОСТ
Скачать ГОСТ в PDF или DOC бесплатно
Основная информация
Обозначение:
ГОСТ 18351-73
Статус:
Действует
Тип:
ГОСТ
Название русское:
Прутки прессованные из магниевых сплавов. Технические условия
Название английское:
Magnesium alloy extruded rods. Specifications
Даты и сроки
Дата издания:
05-01-87
Дата введения в действие:
01-01-74
Дата завершения срока действия:
-
Применение и описание
Область и условия применения:
Настоящий стандарт распространяется на прессованные прутки круглого сечения из магниевых сплавов, предназначенные для нужд народного хозяйства и для экспорта
Связи и замены
Заменяющий:
-
Изменения и переиздания
Список изменений:
№1 от (рег. ) «Срок действия продлен» №2 от (рег. ) «Срок действия продлен» №3 от (рег. ) «Срок действия продлен»
Описание стандарта
ГОСТ 18351-73 Прутки прессованные из магниевых сплавов. Технические условия
Страницы стандарта














