ГОСТ 19351-2006 Проволока из иридия и родия. Технические условия
ГОСТ
Скачать ГОСТ в PDF или DOC бесплатно
Основная информация
Обозначение:
ГОСТ 19351-2006
Статус:
Действует
Тип:
ГОСТ
Название русское:
Проволока из иридия и родия. Технические условия
Название английское:
Wire made of iridium and rhodium. Specifications
Даты и сроки
Дата регистрации:
12-07-06
Дата издания:
01-01-08
Дата введения в действие:
01-01-08
Дата завершения срока действия:
-
Применение и описание
Область и условия применения:
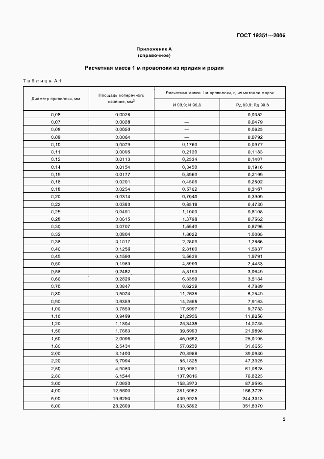
Настоящий стандарт распространяется на проволоку из иридия и родия, применяемую в приборостроении и других отраслях промышленности
Связи и замены
Заменяющий:
-
Взамен:
ГОСТ 19351-74
Описание стандарта
ГОСТ 19351-2006 Проволока из иридия и родия. Технические условия
Страницы стандарта










