ГОСТ 18389-2014 Проволока из платины и сплавов на ее основе. Технические условия
ГОСТ
Скачать ГОСТ в PDF или DOC бесплатно
Основная информация
Обозначение:
ГОСТ 18389-2014
Статус:
Действует
Тип:
ГОСТ
Название русское:
Проволока из платины и сплавов на ее основе. Технические условия
Название английское:
Wire made of platinum and its alloys. Specifications
Даты и сроки
Дата регистрации:
12-22-14
Дата издания:
02-02-15
Дата введения в действие:
09-01-15
Дата завершения срока действия:
-
Применение и описание
Область и условия применения:
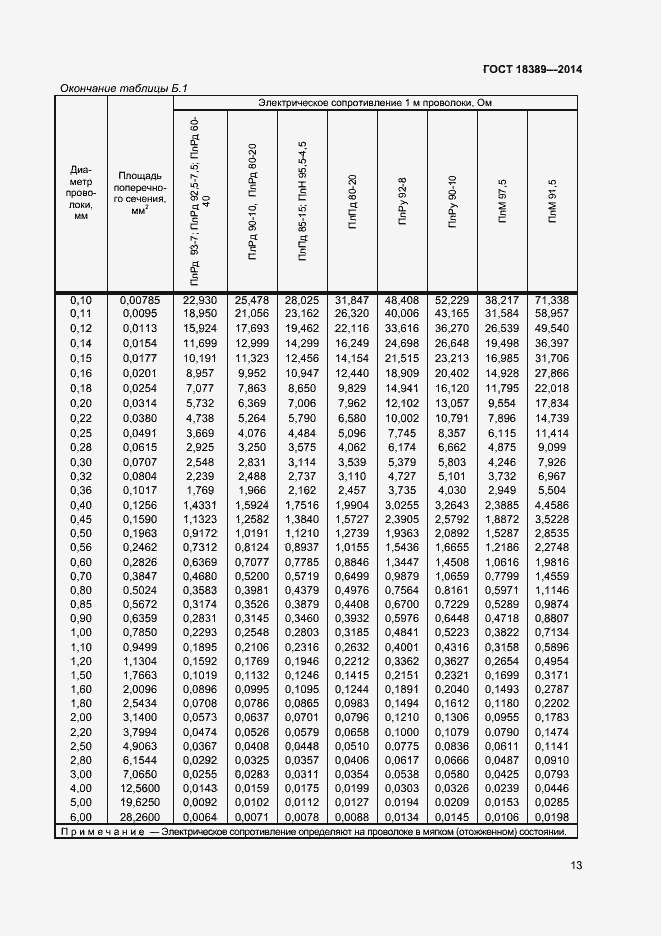
Настоящий стандарт распространяется на холоднодеформированную проволоку из платины и сплавов на её основе, применяемую в приборостроении и других отраслях промышленности
Связи и замены
Заменяющий:
-
Взамен:
ГОСТ 18389-73
Описание стандарта
ГОСТ 18389-2014 Проволока из платины и сплавов на ее основе. Технические условия
Страницы стандарта















