ГОСТ 24718-2014 Полосы из платины, палладия и сплавов на их основе. Технические условия
ГОСТ
Скачать ГОСТ в PDF или DOC бесплатно
Основная информация
Обозначение:
ГОСТ 24718-2014
Статус:
Действует
Тип:
ГОСТ
Название русское:
Полосы из платины, палладия и сплавов на их основе. Технические условия
Название английское:
Strips made of platinum, palladium and its base alloys. Specifications
Даты и сроки
Дата регистрации:
10-20-14
Дата издания:
04-01-15
Дата введения в действие:
01-01-16
Дата завершения срока действия:
-
Применение и описание
Область и условия применения:
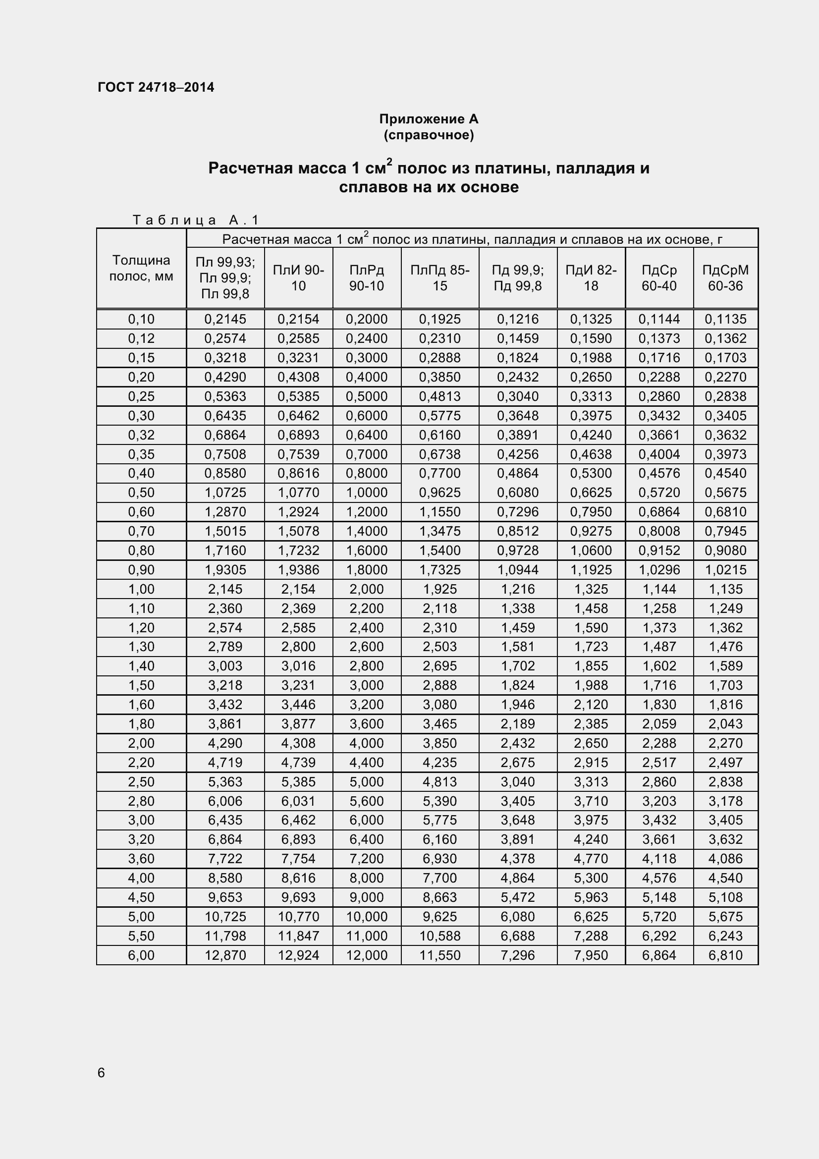
Настоящий стандарт распространяется на холоднокатаные полосы из платины, палладия и сплавов на их основе, применяемые в приборостроении и других отраслях промышленности
Связи и замены
Заменяющий:
-
Взамен:
ГОСТ 24718-81
Описание стандарта
ГОСТ 24718-2014 Полосы из платины, палладия и сплавов на их основе. Технические условия
Страницы стандарта













Приложение №1: Поправка к ГОСТ 24718-2014 Обозначение: Поправка к ГОСТ 24718-2014 Дата введения в действие: 30.12.2021
