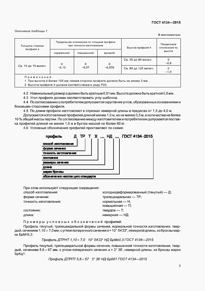
ГОСТ 4134-2015 Профили из медных сплавов для коллекторов электрических машин. Технические условия
ГОСТ
Скачать ГОСТ в PDF или DOC бесплатно
Основная информация
Обозначение:
ГОСТ 4134-2015
Статус:
Действует
Тип:
ГОСТ
Название русское:
Профили из медных сплавов для коллекторов электрических машин. Технические условия
Название английское:
Copper alloys sections for collectors of electrical machines. Specifications
Даты и сроки
Дата регистрации:
09-30-15
Дата издания:
11-24-15
Дата введения в действие:
04-01-16
Дата завершения срока действия:
-
Применение и описание
Область и условия применения:
Настоящий стандарт распространяется на холоднодеформированные профили из медных сплавов (бронзы), применяемые для изготовления коллекторов электрических машин. Стандарт устанавливает сортамент, технические требования, правила приемки, методы контроля и испытаний, маркировку, упаковку, транспортирование и хранение профилей.
Связи и замены
Заменяющий:
-
Взамен:
ГОСТ 4134-75
Описание стандарта
ГОСТ 4134-2015 Профили из медных сплавов для коллекторов электрических машин. Технические условия
Страницы стандарта










