ГОСТ 7222-2014 Проволока из золота, серебра и сплавов на их основе. Технические условия
ГОСТ
Скачать ГОСТ в PDF или DOC бесплатно
Основная информация
Обозначение:
ГОСТ 7222-2014
Статус:
Действует
Тип:
ГОСТ
Название русское:
Проволока из золота, серебра и сплавов на их основе. Технические условия
Название английское:
Wire made of gold, silver and their alloys. Specifications
Даты и сроки
Дата регистрации:
05-30-14
Дата издания:
03-02-15
Дата введения в действие:
09-01-15
Дата завершения срока действия:
-
Применение и описание
Область и условия применения:
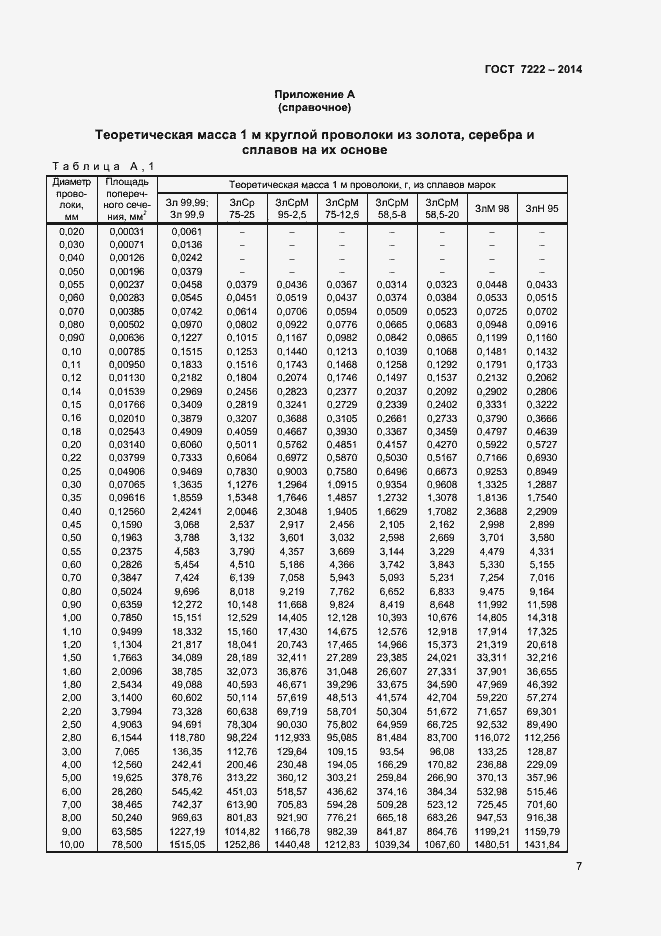
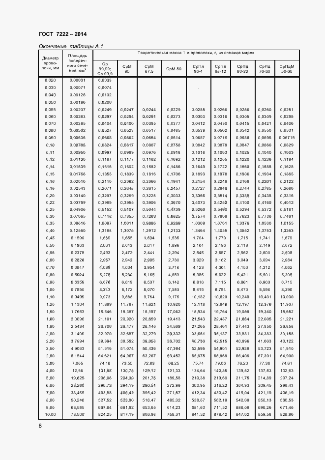
Настоящий стандарт распространяется на холоднотянутую проволоку из золота, серебра и сплавов на их основе технического назначения, а также для ювелирного производства
Связи и замены
Заменяющий:
-
Взамен:
ГОСТ 7222-75
Описание стандарта
ГОСТ 7222-2014 Проволока из золота, серебра и сплавов на их основе. Технические условия
Страницы стандарта











