ГОСТ Р 55774-2013 Трубы прямоугольные и Н-образные высокой точности и чистоты поверхности из алюминия и алюминиевых сплавов для волноводов. Технические условия
ГОСТ Р
Скачать ГОСТ в PDF или DOC бесплатно
Основная информация
Обозначение:
ГОСТ Р 55774-2013
Статус:
Действует
Тип:
ГОСТ Р
Название русское:
Трубы прямоугольные и Н-образные высокой точности и чистоты поверхности из алюминия и алюминиевых сплавов для волноводов. Технические условия
Название английское:
High precision and high surface finishing rectangular and H-shaped tubes of aluminium and aluminium alloys for waveguides. Specifications
Даты и сроки
Дата издания:
07-21-14
Дата введения в действие:
06-01-14
Дата завершения срока действия:
-
Применение и описание
Область и условия применения:
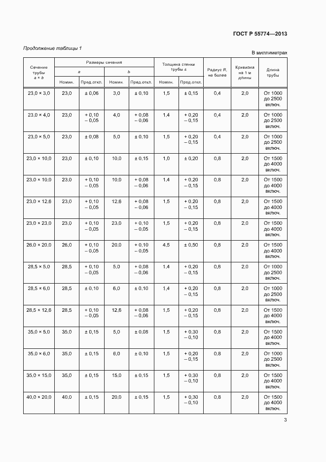
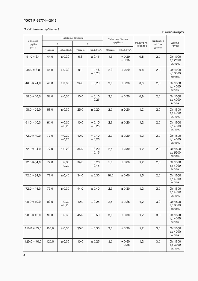
Настоящий стандарт распространяется на трубы прямоугольного и Н-образного сечения высокой точности и чистоты поверхности из алюминия и алюминиевых сплавов, предназначенные для изготовления волноводов
Связи и замены
Заменяющий:
-
Описание стандарта
ГОСТ Р 55774-2013 Трубы прямоугольные и Н-образные высокой точности и чистоты поверхности из алюминия и алюминиевых сплавов для волноводов. Технические условия
Страницы стандарта














