ГОСТ 1066-2015 Проволока латунная. Технические условия
ГОСТ
Скачать ГОСТ в PDF или DOC бесплатно
Основная информация
Обозначение:
ГОСТ 1066-2015
Статус:
Действует
Тип:
ГОСТ
Название русское:
Проволока латунная. Технические условия
Название английское:
Brass wire. Specifications
Даты и сроки
Дата регистрации:
09-29-15
Дата издания:
12-28-15
Дата введения в действие:
04-01-16
Дата завершения срока действия:
-
Применение и описание
Область и условия применения:
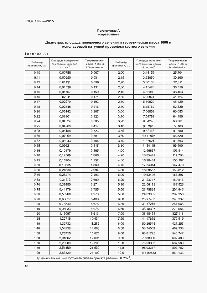
Настоящий стандарт распространяется на тянутую холоднодеформированную проволоку общего назначения круглого, квадратного и шестигранного сечений из медно-цинковых сплавов (латуней). Стандарт устанавливает сортамент, технические требования, правила приемки, методы контроля и испытаний, упаковку, маркировку, транспортирование и хранение проволоки
Приложение №1:
Поправка к ГОСТ 1066-2015 Обозначение: Поправка к ГОСТ 1066-2015 Дата введения в действие: 08.02.2019
Связи и замены
Заменяющий:
-
Взамен:
ГОСТ 1066-90
Описание стандарта
ГОСТ 1066-2015 Проволока латунная. Технические условия
Страницы стандарта




















Приложение №1: Поправка к ГОСТ 1066-2015 Обозначение: Поправка к ГОСТ 1066-2015 Дата введения в действие: 08.02.2019

Приложение №1: Поправка к ГОСТ 1066-2015 Обозначение: Поправка к ГОСТ 1066-2015 Дата введения в действие: 08.02.2019

Приложение №1: Поправка к ГОСТ 1066-2015 Обозначение: Поправка к ГОСТ 1066-2015 Дата введения в действие: 08.02.2019

Приложение №1: Поправка к ГОСТ 1066-2015 Обозначение: Поправка к ГОСТ 1066-2015 Дата введения в действие: 08.02.2019

Приложение №2: Поправка к ГОСТ 1066-2015 Обозначение: Поправка к ГОСТ 1066-2015 Дата введения в действие: 15.03.2021

Приложение №3: Поправка к ГОСТ 1066-2015 Обозначение: Поправка к ГОСТ 1066-2015 Дата введения в действие: 13.07.2023
