ГОСТ 5307-2015 Проволока константановая неизолированная. Технические условия
ГОСТ
Скачать ГОСТ в PDF или DOC бесплатно
Основная информация
Обозначение:
ГОСТ 5307-2015
Статус:
Действует
Тип:
ГОСТ
Название русское:
Проволока константановая неизолированная. Технические условия
Название английское:
Constantan uninsulated wire. Specifications
Даты и сроки
Дата регистрации:
05-29-15
Дата издания:
02-08-16
Дата введения в действие:
04-01-16
Дата завершения срока действия:
-
Применение и описание
Область и условия применения:
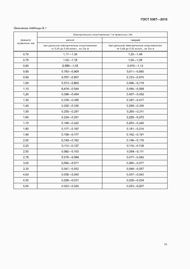
Настоящий стандарт распространяется на холоднотянутую константановую неизолированную проволоку круглого сечения, применяемую для электрических целей. Проволока предназначена для работы при температуре не выше 500 °С. Стандарт устанавливает сортамент, технические требования, правила приемки, методы контроля и испытаний, упаковку, маркировку, транспортирование и хранение проволоки
Связи и замены
Заменяющий:
-
Взамен:
ГОСТ 5307-77
Изменения и переиздания
Список изменений:
№0 от (рег. ) «Дата введения перенесена»
Описание стандарта
ГОСТ 5307-2015 Проволока константановая неизолированная. Технические условия
Страницы стандарта



















Приложение №1: Поправка к ГОСТ 5307-2015 Обозначение: Поправка к ГОСТ 5307-2015 Дата введения в действие: 13.11.2018
