ГОСТ 15834-2016 Проволока из бериллиевой бронзы. Технические условия
ГОСТ
Скачать ГОСТ в PDF или DOC бесплатно
Основная информация
Обозначение:
ГОСТ 15834-2016
Статус:
Действует
Тип:
ГОСТ
Название русское:
Проволока из бериллиевой бронзы. Технические условия
Название английское:
Wire of beryllium bronze. Technical conditions
Даты и сроки
Дата регистрации:
02-29-16
Дата издания:
08-18-16
Дата введения в действие:
04-01-17
Дата завершения срока действия:
-
Применение и описание
Область и условия применения:
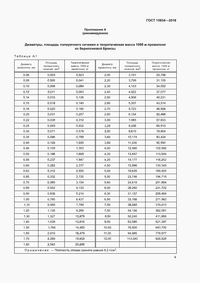
Настоящий стандарт распространяется на проволоку круглого сечения берилливой бронзы (далее - проволока), применяемую в приборо- и машиностроении. Настоящий стандарт устанавливает сортамент, технические требования, правила приемки, методы контроля и испытаний, правила упаковки, маркировки, транспортирования и хранения проволоки
Связи и замены
Заменяющий:
-
Взамен:
ГОСТ 15834-77
Описание стандарта
ГОСТ 15834-2016 Проволока из бериллиевой бронзы. Технические условия
Страницы стандарта














