ГОСТ 18394-2016 Фольга свинцовая, плакированная оловом, и оловянная. Технические условия
ГОСТ
Скачать ГОСТ в PDF или DOC бесплатно
Основная информация
Обозначение:
ГОСТ 18394-2016
Статус:
Действует
Тип:
ГОСТ
Название русское:
Фольга свинцовая, плакированная оловом, и оловянная. Технические условия
Название английское:
Tin plated lead and tin foil. Specifications
Даты и сроки
Дата регистрации:
10-25-16
Дата издания:
05-17-17
Дата введения в действие:
03-01-18
Дата завершения срока действия:
-
Применение и описание
Область и условия применения:
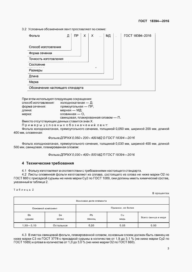
Настоящий стандарт распространяется на фольгу свинцовую, плакированную оловом, и оловянную фольгу, применяемую в электропромышленности, приборостроении и других отраслях промышленности
Связи и замены
Заменяющий:
-
Взамен:
ГОСТ 18394-73
Описание стандарта
ГОСТ 18394-2016 Фольга свинцовая, плакированная оловом, и оловянная. Технические условия
Страницы стандарта










