ГОСТ 5222-2016 Проволока из кремнемарганцовой бронзы. Технические условия
ГОСТ
Скачать ГОСТ в PDF или DOC бесплатно
Основная информация
Обозначение:
ГОСТ 5222-2016
Статус:
Действует
Тип:
ГОСТ
Название русское:
Проволока из кремнемарганцовой бронзы. Технические условия
Название английское:
Silicon-manganese bronze wire. Specifications
Даты и сроки
Дата регистрации:
10-25-16
Дата издания:
05-16-17
Дата введения в действие:
03-01-18
Дата завершения срока действия:
-
Применение и описание
Область и условия применения:
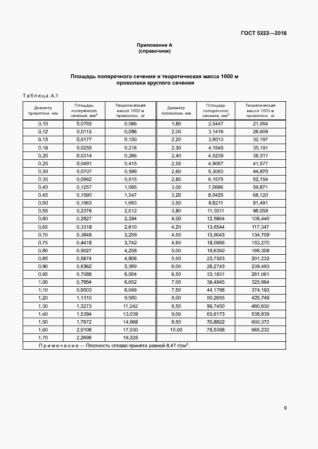
Настоящий стандарт распространяется на проволоку круглого и квадратного сечения из кремнемарганцовой бронзы, холоднодеформированную, предназначенную для изготовления упругих элементов. Стандарт устанавливает сортамент, технические требования, правила приемки, методы контроля и испытаний, маркировку, упаковку, транспортирование и хранение проволоки
Связи и замены
Заменяющий:
-
Взамен:
ГОСТ 5222-72
Описание стандарта
ГОСТ 5222-2016 Проволока из кремнемарганцовой бронзы. Технические условия
Страницы стандарта














