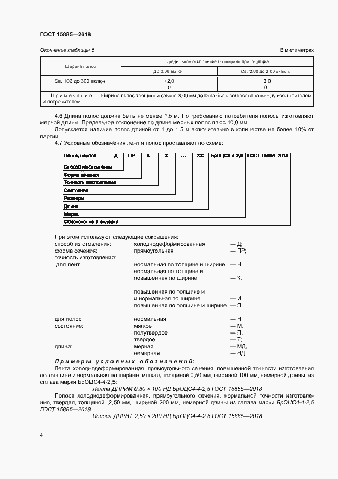
ГОСТ 15885-2018 Ленты и полосы из оловянно-цинково-свинцовой бронзы. Технические условия
ГОСТ
Скачать ГОСТ в PDF или DOC бесплатно
Основная информация
Обозначение:
ГОСТ 15885-2018
Статус:
Действует
Тип:
ГОСТ
Название русское:
Ленты и полосы из оловянно-цинково-свинцовой бронзы. Технические условия
Название английское:
Tin-zinc-lead bronze ribbons and strips. Specifications
Даты и сроки
Дата регистрации:
04-30-18
Дата издания:
10-25-18
Дата введения в действие:
03-01-19
Дата завершения срока действия:
-
Применение и описание
Область и условия применения:
Настоящий стандарт распространяется на холоднокатаные ленты и полосы из оловянно-цинково-свинцовой бронзы, применяемые в автомобильной и тракторной промышленности
Связи и замены
Заменяющий:
-
Взамен:
ГОСТ 15885-77
Описание стандарта
ГОСТ 15885-2018 Ленты и полосы из оловянно-цинково-свинцовой бронзы. Технические условия
Страницы стандарта













