ГОСТ 21631-2019 Листы из алюминия и алюминиевых сплавов. Технические условия
ГОСТ
Скачать ГОСТ в PDF или DOC бесплатно
Основная информация
Обозначение:
ГОСТ 21631-2019
Статус:
Утратил силу в РФ
Тип:
ГОСТ
Название русское:
Листы из алюминия и алюминиевых сплавов. Технические условия
Название английское:
Sheets of aluminium and aluminium alloys. Specifications
Даты и сроки
Дата регистрации:
10-30-19
Дата издания:
01-16-20
Дата введения в действие:
06-01-20
Дата завершения срока действия:
12-23-20
Применение и описание
Область и условия применения:
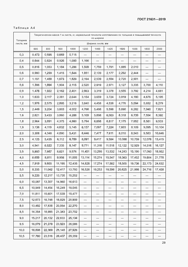
Настоящий стандарт распространяется на листы из алюминия и алюминиевых сплавов общего и специального назначения
Связи и замены
Заменяющий:
-
Взамен:
ГОСТ 21631-76
Описание стандарта
ГОСТ 21631-2019 Листы из алюминия и алюминиевых сплавов. Технические условия
Страницы стандарта


































