ГОСТ 9559-2021 Листы свинцовые. Технические условия
ГОСТ
Скачать ГОСТ в PDF или DOC бесплатно
Основная информация
Обозначение:
ГОСТ 9559-2021
Статус:
Действует
Тип:
ГОСТ
Название русское:
Листы свинцовые. Технические условия
Название английское:
Lead sheets. Specifications
Даты и сроки
Дата регистрации:
08-26-21
Дата издания:
09-02-22
Дата введения в действие:
03-01-22
Дата завершения срока действия:
-
Применение и описание
Область и условия применения:
Настоящий стандарт распространяется на холоднокатаные свинцовые листы (далее – листы), применяемые в химическом машиностроении и других отраслях промышленности
Приложение №1:
Поправка к ГОСТ 9559-2021 Обозначение: Поправка к ГОСТ 9559-2021 Дата введения в действие: 14.03.2022
Связи и замены
Заменяющий:
-
Взамен:
ГОСТ 9559-89
Описание стандарта
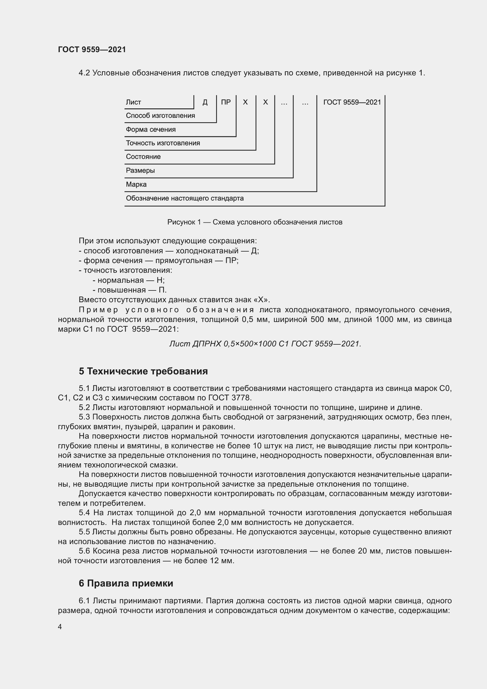
ГОСТ 9559-2021 Листы свинцовые. Технические условия
Страницы стандарта













Приложение №1: Поправка к ГОСТ 9559-2021 Обозначение: Поправка к ГОСТ 9559-2021 Дата введения в действие: 14.03.2022

Приложение №2: Поправка к ГОСТ 9559-2021 Обозначение: Поправка к ГОСТ 9559-2021 Дата введения в действие: 24.11.2022

Приложение №3: Поправка к ГОСТ 9559-2021 Обозначение: Поправка к ГОСТ 9559-2021 Дата введения в действие: 05.08.2022
