ГОСТ 19106-73 Вставки из твердых металлокерамических сплавов для разделительных и гибочных штампов (заготовки)
ГОСТ
Скачать ГОСТ в PDF или DOC бесплатно
Основная информация
Обозначение:
ГОСТ 19106-73
Статус:
Действует
Тип:
ГОСТ
Название русское:
Вставки из твердых металлокерамических сплавов для разделительных и гибочных штампов (заготовки)
Название английское:
Inserts of cemented carbide alloys for shearing and bending dies (blanks)
Даты и сроки
Дата издания:
02-01-85
Дата введения в действие:
06-30-74
Дата завершения срока действия:
-
Применение и описание
Область и условия применения:
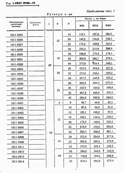
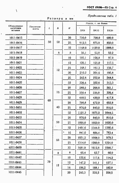
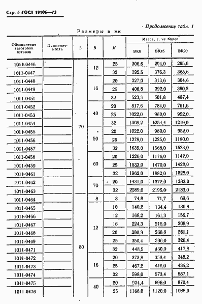
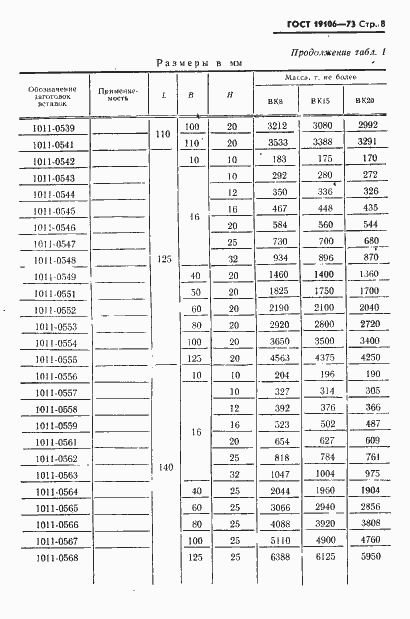
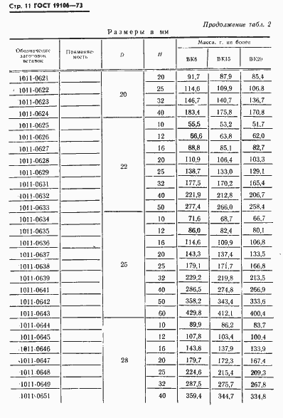
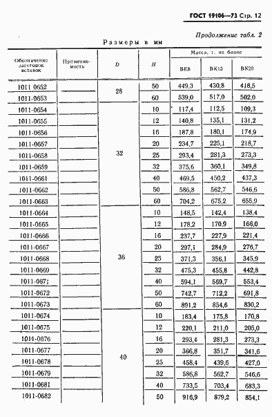
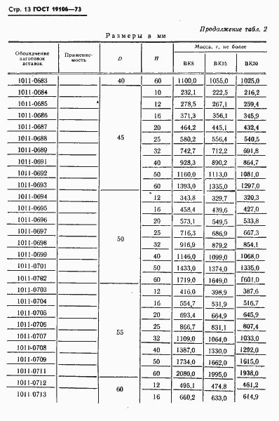
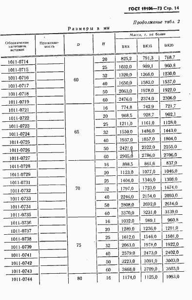
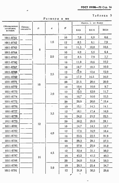
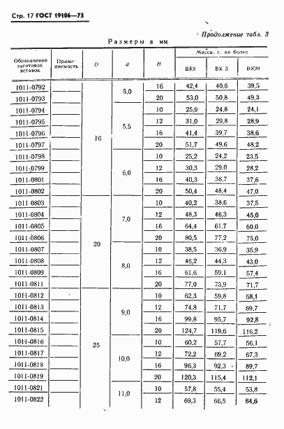
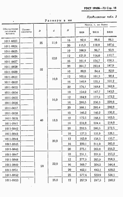
Настоящий стандарт устанавливает форму и размеры заготовок вставок
Связи и замены
Заменяющий:
-
Изменения и переиздания
Список изменений:
№1 от (рег. ) «Срок действия продлен» №2 от (рег. ) «Срок действия продлен»
Описание стандарта
ГОСТ 19106-73 Вставки из твердых металлокерамических сплавов для разделительных и гибочных штампов (заготовки)
Страницы стандарта



























