ГОСТ 21125-75 Заготовки из металлокерамических твердых сплавов для гладких калибров. Формы и размеры
ГОСТ
Скачать ГОСТ в PDF или DOC бесплатно
Основная информация
Обозначение:
ГОСТ 21125-75
Статус:
Действует
Тип:
ГОСТ
Название русское:
Заготовки из металлокерамических твердых сплавов для гладких калибров. Формы и размеры
Название английское:
Insert from sintered hard metalls for plain plug-gauges. Formes and dimensions
Даты и сроки
Дата издания:
11-21-75
Дата введения в действие:
01-01-77
Дата завершения срока действия:
-
Применение и описание
Область и условия применения:
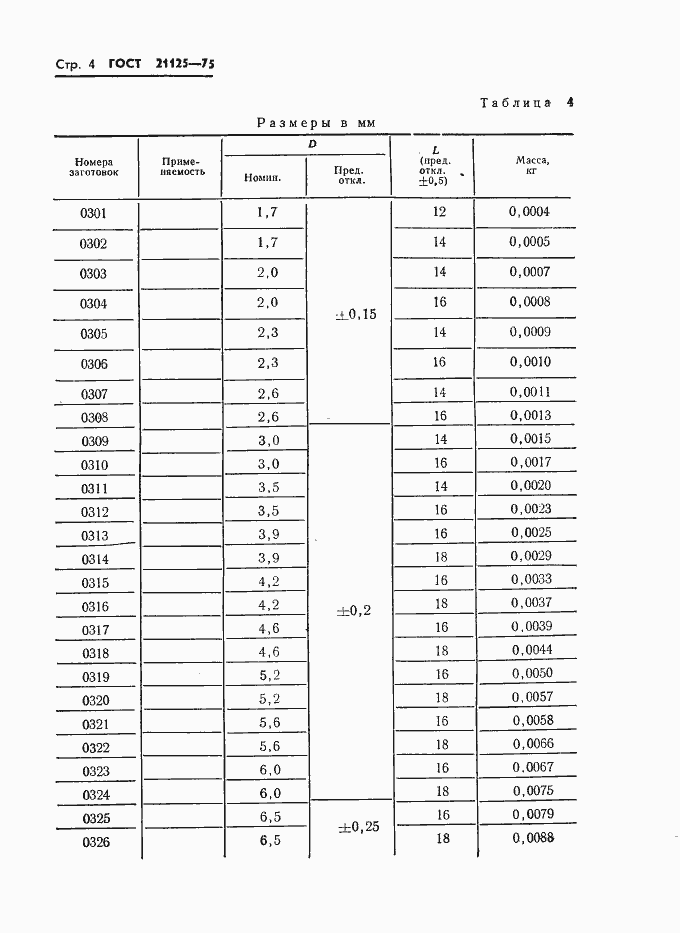
Настоящий стандарт распространяется на заготовки из металлокерамических твердых сплавов, предназначенные для оснащения гладких калибров-скоб для диаметров от 3 до 180 мм и пробок диаметром от 1 до 50 мм
Связи и замены
Заменяющий:
-
Описание стандарта
ГОСТ 21125-75 Заготовки из металлокерамических твердых сплавов для гладких калибров. Формы и размеры
Страницы стандарта











