ГОСТ 25645.118-84 Излучение космическое рентгеновское дискретных источников. Энергетические спектры и угловые координаты
ГОСТ
Скачать ГОСТ в PDF или DOC бесплатно
Основная информация
Обозначение:
ГОСТ 25645.118-84
Статус:
Действует
Тип:
ГОСТ
Название русское:
Излучение космическое рентгеновское дискретных источников. Энергетические спектры и угловые координаты
Название английское:
Cosmic X-rays of the discrete sources. Energy spectra and angular coordinates
Даты и сроки
Дата издания:
06-01-90
Дата введения в действие:
01-01-86
Дата завершения срока действия:
-
Применение и описание
Область и условия применения:
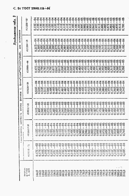
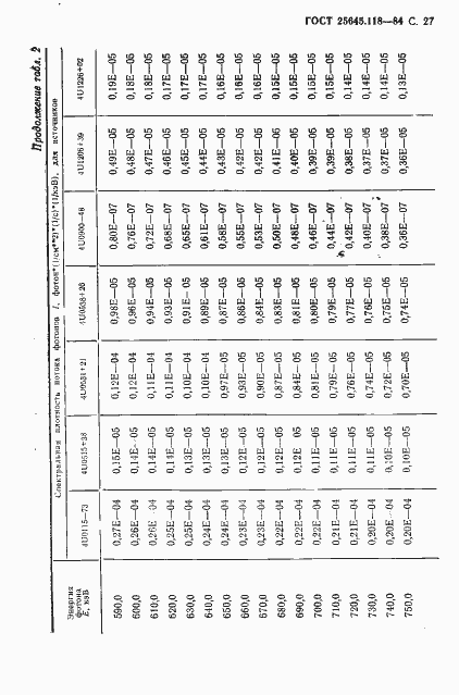
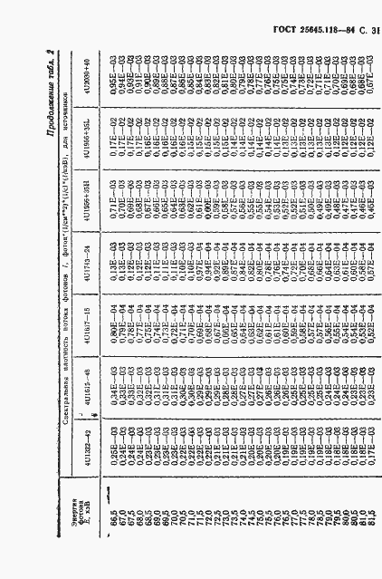
Настоящий стандарт устанавливает параметры и зависимости, характеризующие угловое и энергетическое распределение потока фотонов космического ренгеновского излучения с энергиями от 2 до 800 кэВ от наиболее сильных, постоянно действующих дискретных источников, находящихся за пределами Солнечной системы. Стандарт предназначен для использования в расчетах среднего и экстремальных значений потока фотонов, падающего на открытые (незатененные) поверхности элементов технических устройств в космическом пространстве
Связи и замены
Заменяющий:
-
Изменения и переиздания
Список изменений:
№1 от (рег. ) «Срок действия продлен»
Описание стандарта
ГОСТ 25645.118-84 Излучение космическое рентгеновское дискретных источников. Энергетические спектры и угловые координаты
Страницы стандарта










































