ГОСТ 25645.139-86 Пояса Земли радиационные естественные. Модель пространственно-энергетического распределения плотности потока электронов
ГОСТ
Скачать ГОСТ в PDF или DOC бесплатно
Основная информация
Обозначение:
ГОСТ 25645.139-86
Статус:
Действует
Тип:
ГОСТ
Название русское:
Пояса Земли радиационные естественные. Модель пространственно-энергетического распределения плотности потока электронов
Название английское:
-
Даты и сроки
Дата издания:
02-01-89
Дата введения в действие:
06-30-87
Дата завершения срока действия:
-
Применение и описание
Область и условия применения:
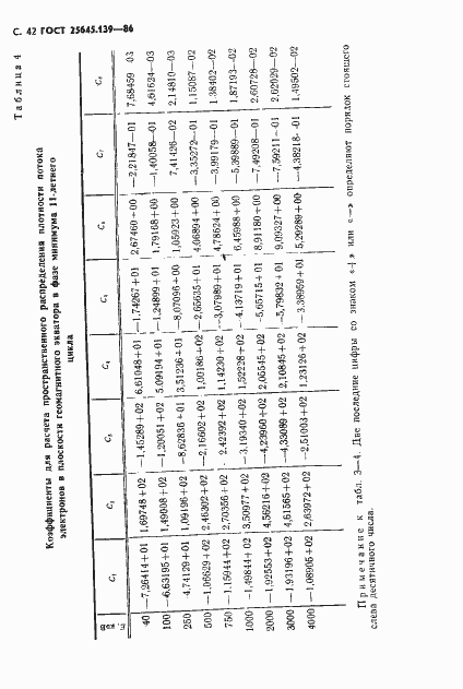
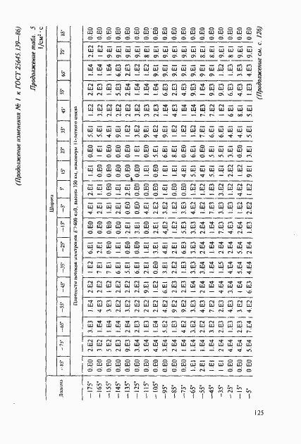
Настоящий стандарт устанавливает модели пространственного и энергетического распределения плотности потока электронов с энергией 40<=Е<=4000 кэВ на высотах более 1000 км и 40<=E<=2000 кэВ на высотах менее 1000 км в фазах минимума и максимума 11-летнего цикла солнечной активности в естественных радиационных поясах Земли. Стандарт предназначен для использования в расчетах радиационных условий полета орбитальных средств в околоземном пространстве
Связи и замены
Заменяющий:
-
Изменения и переиздания
Список изменений:
№1 от (рег. ) «Срок действия продлен»
Описание стандарта
ГОСТ 25645.139-86 Пояса Земли радиационные естественные. Модель пространственно-энергетического распределения плотности потока электронов
Страницы стандарта






































































































































