ГОСТ 25645.146-89 Ионосфера Земли. Модель глобального распределения концентрации, температуры и эффективной частоты соударений электронов
ГОСТ
Скачать ГОСТ в PDF или DOC бесплатно
Основная информация
Обозначение:
ГОСТ 25645.146-89
Статус:
Действует
Тип:
ГОСТ
Название русское:
Ионосфера Земли. Модель глобального распределения концентрации, температуры и эффективной частоты соударений электронов
Название английское:
Earth`s ionosphere. Model of global distribution of concentration, temperature and effective collision frequency of electrons
Даты и сроки
Дата издания:
12-28-90
Дата введения в действие:
01-01-91
Дата завершения срока действия:
-
Применение и описание
Область и условия применения:
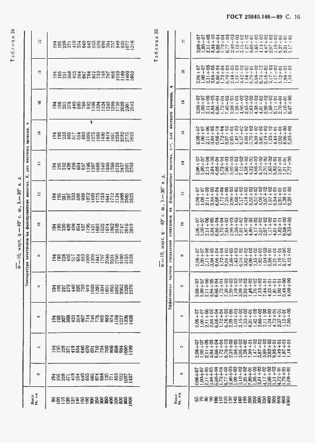
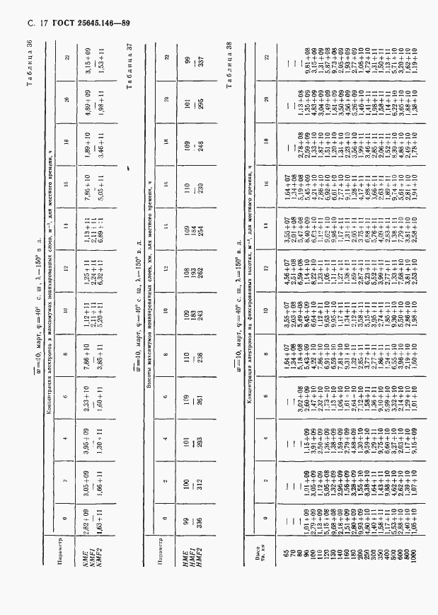
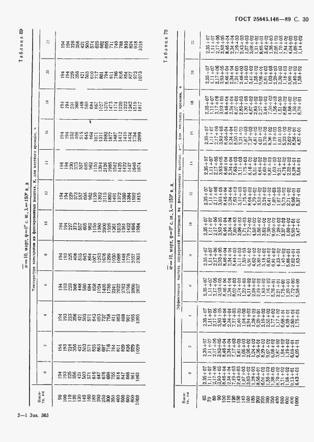
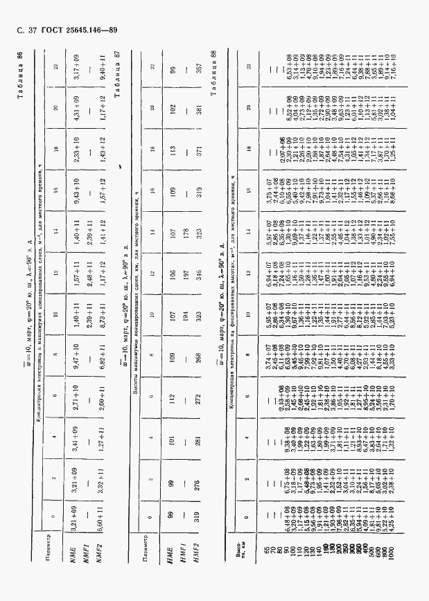
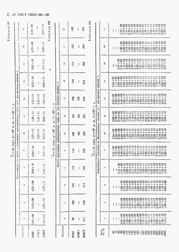
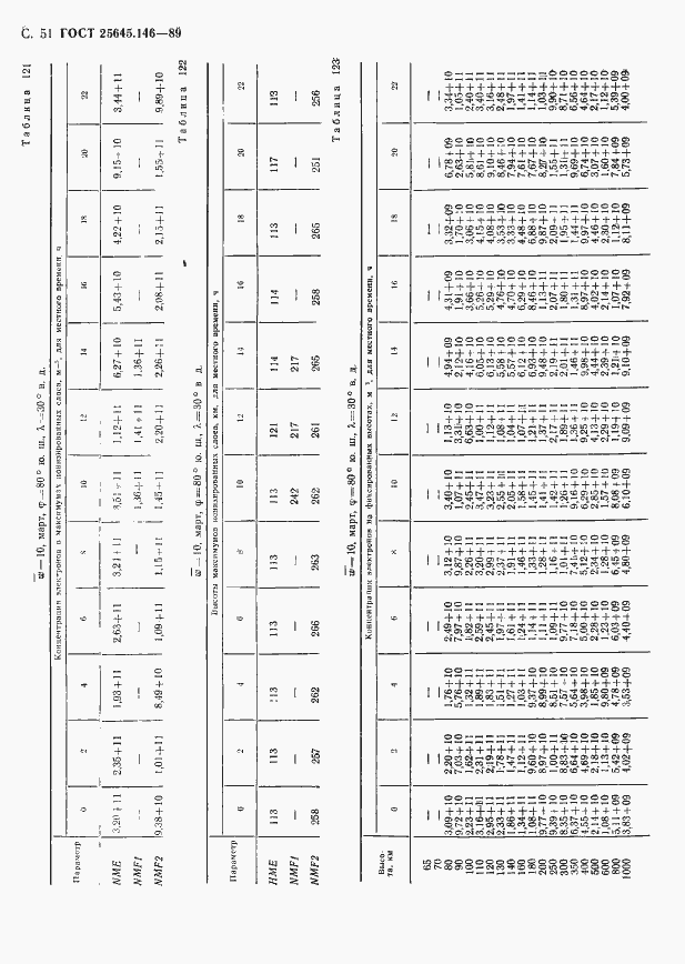
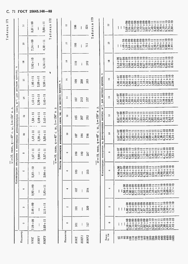
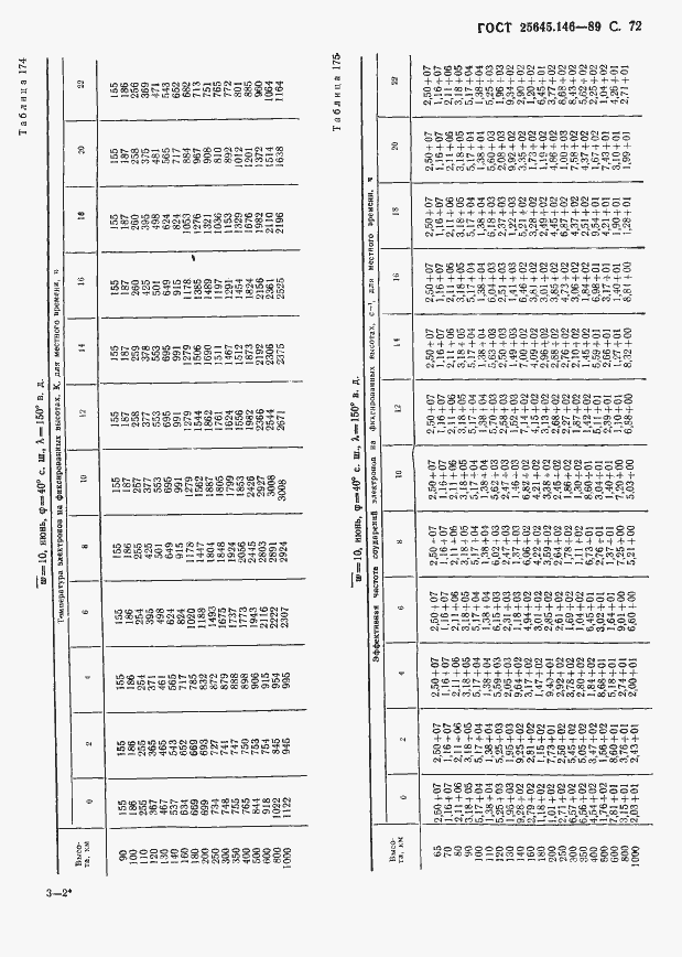
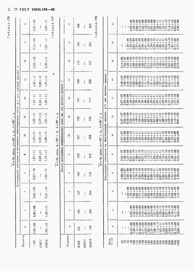
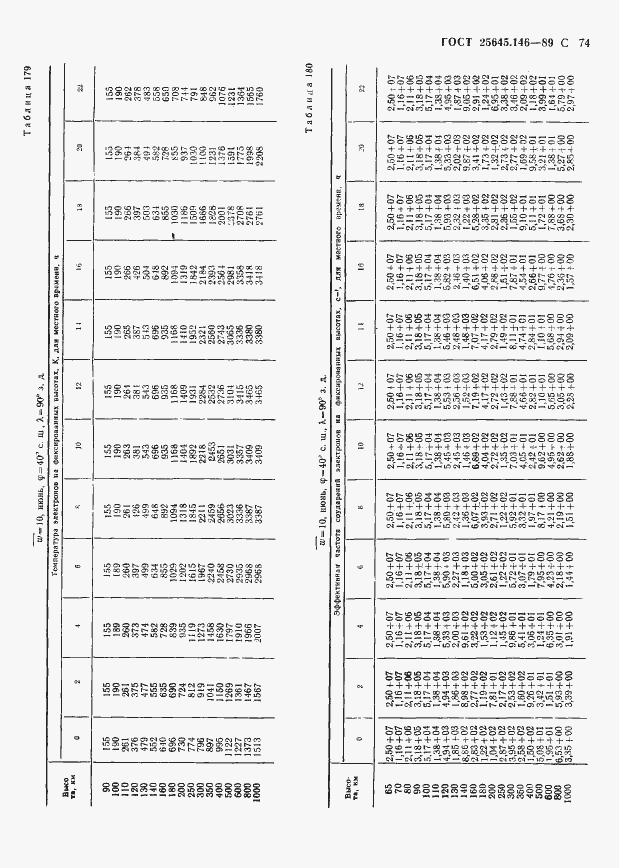
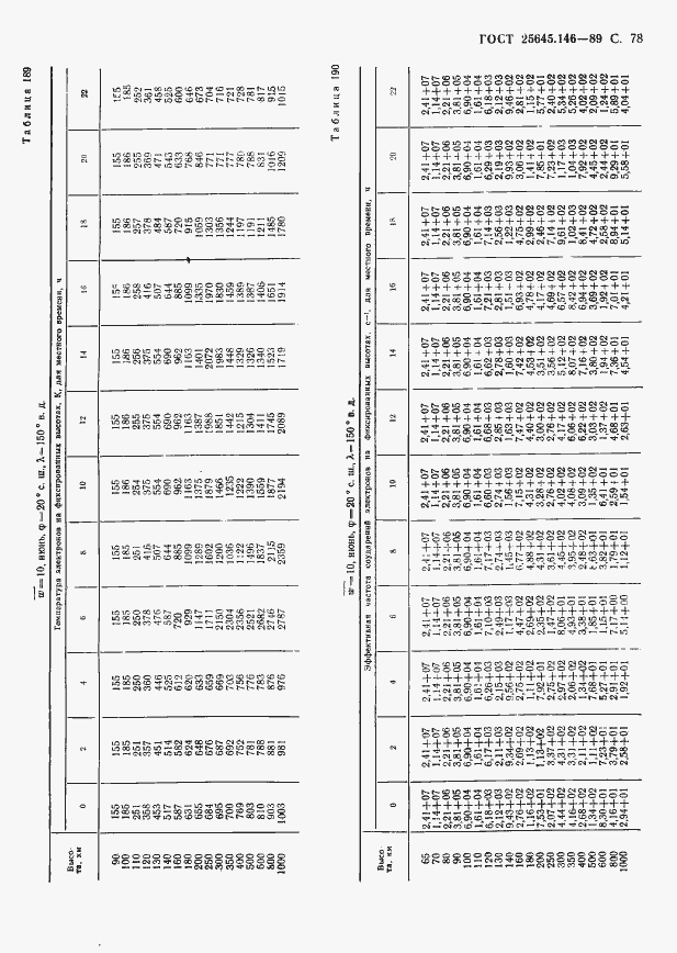
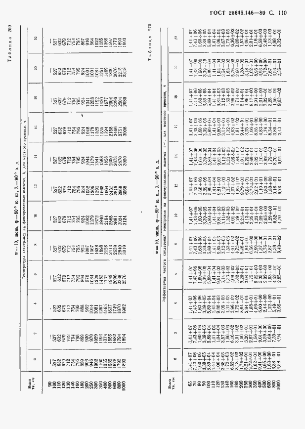
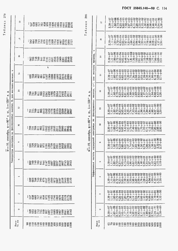
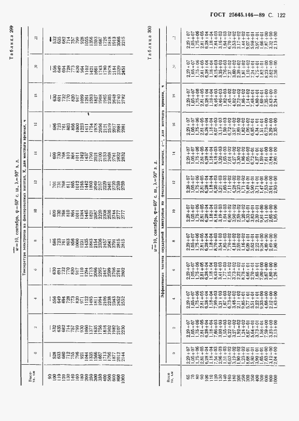
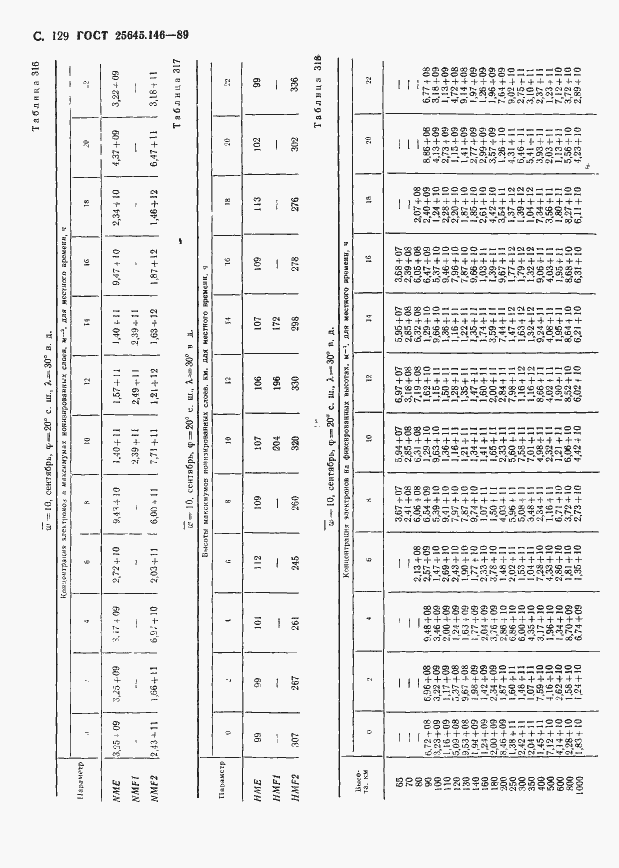
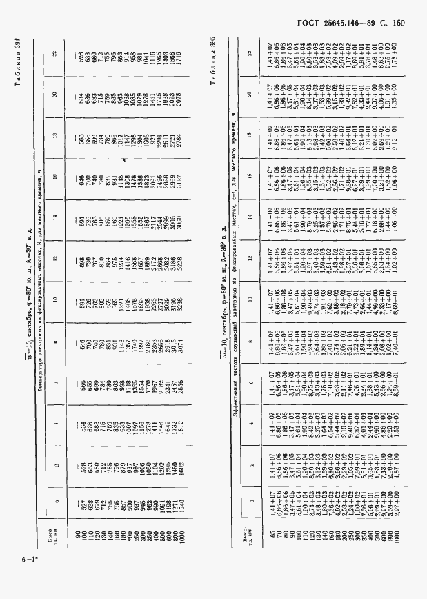
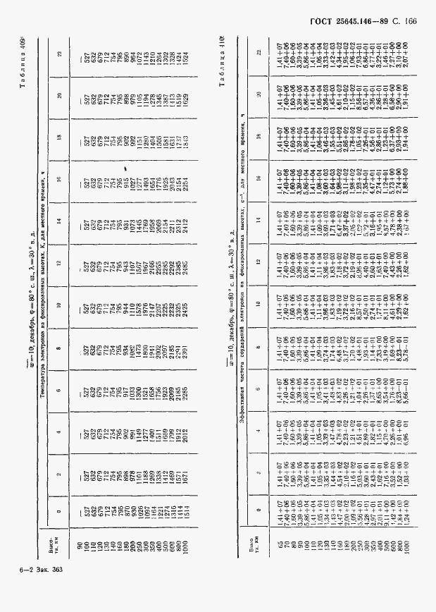
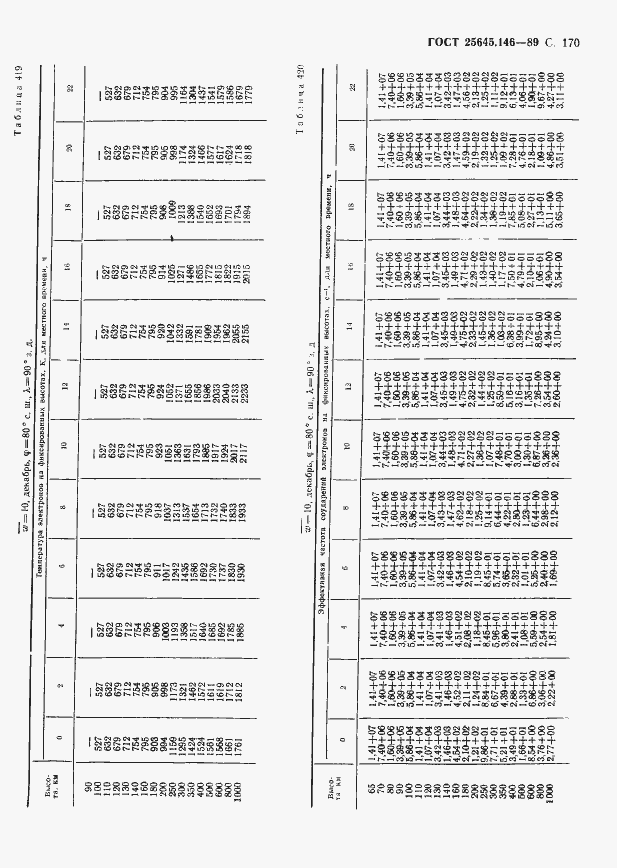
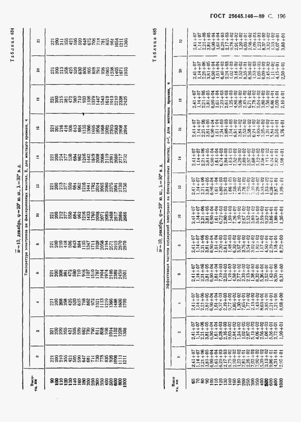
Настоящий стандарт устанавливает модель глобального распределения средних значений концентрации, температуры и эффективной частоты соударений электронов в ионосфере Земли в интервале высот от 65 до 1000 км без учета тонких спорадических слоев E для любого времени суток, различных дней года и уровней солнечной активности, а для концентрации электронов на высоких широтах - и для различных уровней геомагнитной активности.Стандарт не распространяется на периоды ионосферных бурь
Связи и замены
Заменяющий:
-
Взамен:
ГОСТ 25645.140-86;ГОСТ 25645.141-86;ГОСТ 25645.142-86
Описание стандарта
ГОСТ 25645.146-89 Ионосфера Земли. Модель глобального распределения концентрации, температуры и эффективной частоты соударений электронов
Страницы стандарта
























































































































































































































































































































































































































































































































































































































































































































































































































































