ГОСТ 32453-2017 Глобальная навигационная спутниковая система. Системы координат. Методы преобразований координат определяемых точек
ГОСТ
Скачать ГОСТ в PDF или DOC бесплатно
Основная информация
Обозначение:
ГОСТ 32453-2017
Статус:
Действует
Тип:
ГОСТ
Название русское:
Глобальная навигационная спутниковая система. Системы координат. Методы преобразований координат определяемых точек
Название английское:
Global navigation satellite system. Coordinate systems. Methods of transformations for determinated points coordinate
Даты и сроки
Дата регистрации:
08-30-17
Дата издания:
10-04-17
Дата введения в действие:
07-01-18
Дата завершения срока действия:
-
Применение и описание
Область и условия применения:
Настоящий стандарт распространяется на системы координат, входящие в состав систем геодезических параметров «Параметры Земли 1990 года» и референцные системы координат Российской Федерации
Приложение №1:
Поправка к ГОСТ 32453-2017 Обозначение: Поправка к ГОСТ 32453-2017 Дата введения в действие: 12.08.2019
Связи и замены
Заменяющий:
-
Взамен:
ГОСТ 32453-2013
Описание стандарта
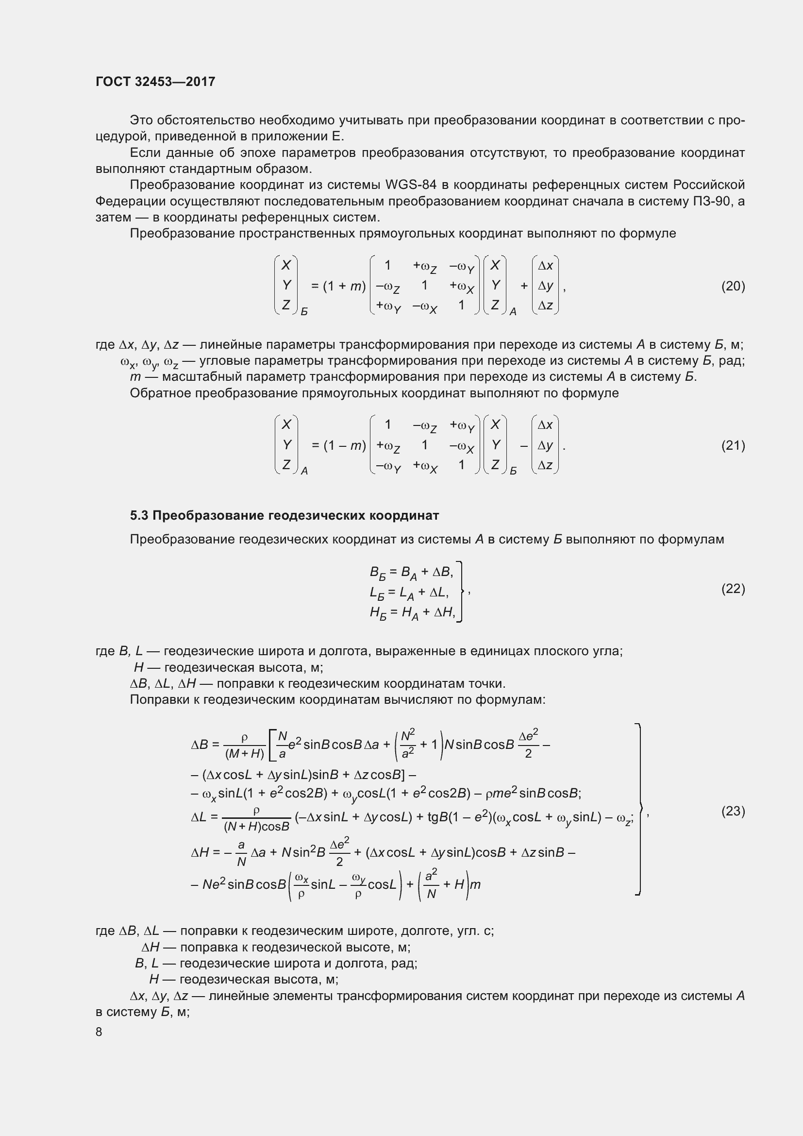
ГОСТ 32453-2017 Глобальная навигационная спутниковая система. Системы координат. Методы преобразований координат определяемых точек
Страницы стандарта



























Приложение №1: Поправка к ГОСТ 32453-2017 Обозначение: Поправка к ГОСТ 32453-2017 Дата введения в действие: 12.08.2019

Приложение №2: Поправка к ГОСТ 32453-2017 Обозначение: Поправка к ГОСТ 32453-2017 Дата введения в действие: 10.12.2019

Приложение №3: Поправка к ГОСТ 32453-2017 Обозначение: Поправка к ГОСТ 32453-2017 Дата введения в действие: 20.04.2021
