ГОСТ Р 51794-2001 Аппаратура радионавигационная глобальной навигационной спутниковой системы и глобальной системы позиционирования. Системы координат. Методы преобразований координат определяемых точек
ГОСТ Р
Скачать ГОСТ в PDF или DOC бесплатно
Основная информация
Обозначение:
ГОСТ Р 51794-2001
Статус:
Заменен
Тип:
ГОСТ Р
Название русское:
Аппаратура радионавигационная глобальной навигационной спутниковой системы и глобальной системы позиционирования. Системы координат. Методы преобразований координат определяемых точек
Название английское:
Radionavigational equipment of global navigation satellite system and global position system. Coordinate systems. Methods of transformations for determinated points coordinates
Даты и сроки
Дата издания:
09-27-01
Дата введения в действие:
07-01-02
Дата завершения срока действия:
09-01-09
Применение и описание
Область и условия применения:
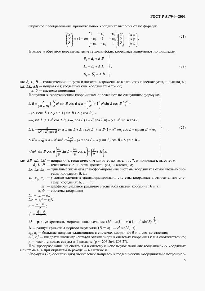
Настоящий стандарт устанавливает: системы координат, входящие в состав систем геодезических параметров "Параметры Земли", "Мировая геодезическая система" и координатной основы Российской Федерации; методы преобразований координат и их приращений из одной системы в другую, а также порядок использования численных значений элементов трансформирования систем координат при выполнении геодезических, навигационных, картографических работ с использованием аппаратуры потребителей радионавигационных систем ГЛОНАСС и ГСП
Связи и замены
Заменяющий:
ГОСТ Р 51794-2008
Описание стандарта
ГОСТ Р 51794-2001 Аппаратура радионавигационная глобальной навигационной спутниковой системы и глобальной системы позиционирования. Системы координат. Методы преобразований координат определяемых точек
Страницы стандарта














