ГОСТ Р 54164-2010 Стекло и изделия из него. Методы определения оптических характеристик. Определение световых и солнечных характеристик
ГОСТ Р
Скачать ГОСТ в PDF или DOC бесплатно
Основная информация
Обозначение:
ГОСТ Р 54164-2010
Статус:
Отменен
Тип:
ГОСТ Р
Название русское:
Стекло и изделия из него. Методы определения оптических характеристик. Определение световых и солнечных характеристик
Название английское:
Glass and glass products. Optical characteristics determination methods. Determination of luminous and solar characteristics
Даты и сроки
Дата издания:
03-26-12
Дата введения в действие:
07-01-12
Дата завершения срока действия:
04-01-16
Применение и описание
Область и условия применения:
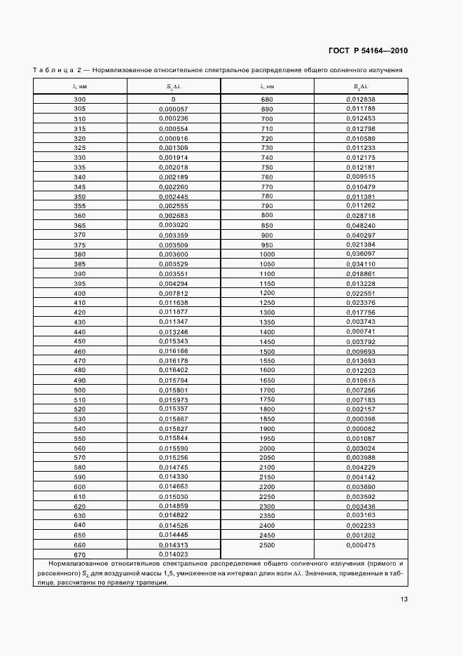
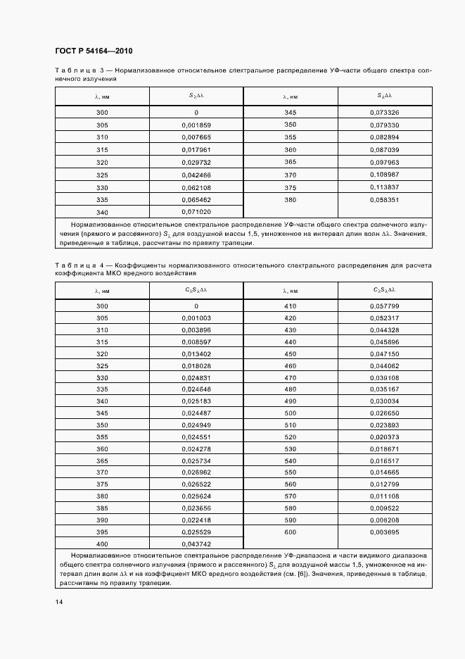
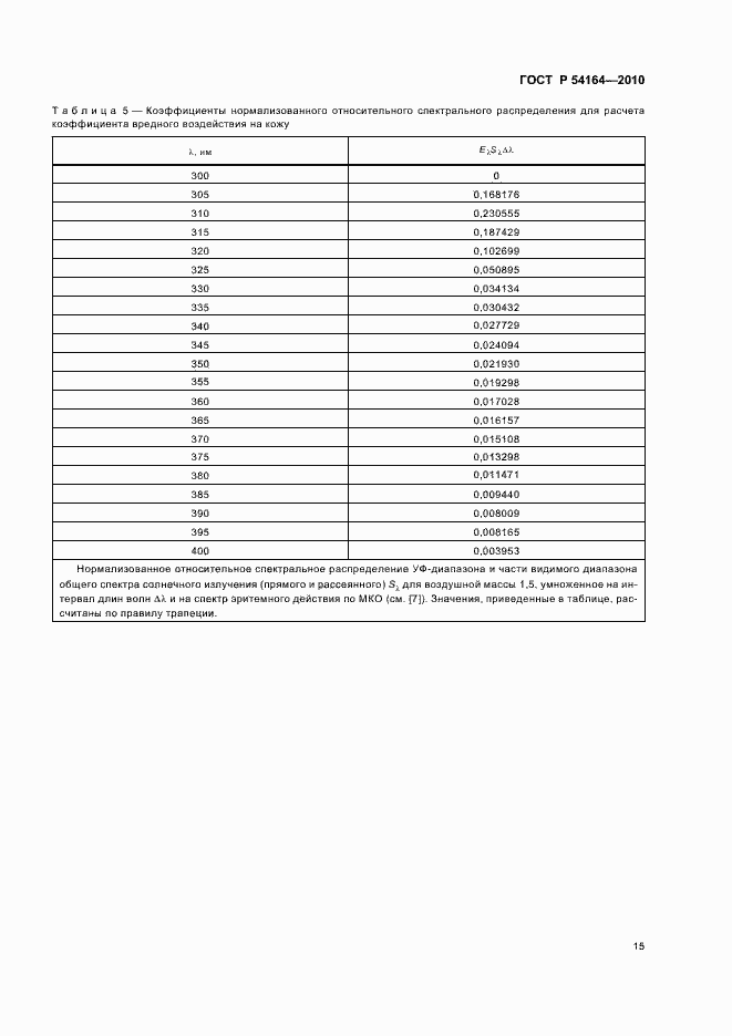
Настоящий стандарт устанавливает методы определения световых и солнечных характеристик остекления зданий, сооружений, средств транспорта, а также различных видов стекла и изделий из него. Значения этих характеристик могут служить основой для расчетов уровня освещенности, обогрева и вентиляции помещений и для сравнительной оценки различных типов остекления. Настоящий стандарт распространяется на обычное и солнцезащитное (поглощающее или отражающее солнечное излучение) остекление, применяемое для остекления световых проемов. Приведены соответствующие формулы для одинарного, двойного и тройного остекления. Кроме того, установлены общие методы расчета для остекления, состоящего из большего количества слоев
Связи и замены
Заменяющий:
-
Изменения и переиздания
Список изменений:
№0 от (рег. ) «Текстовое изменение; Изменено заглавие»
Описание стандарта
ГОСТ Р 54164-2010 Стекло и изделия из него. Методы определения оптических характеристик. Определение световых и солнечных характеристик
Страницы стандарта























