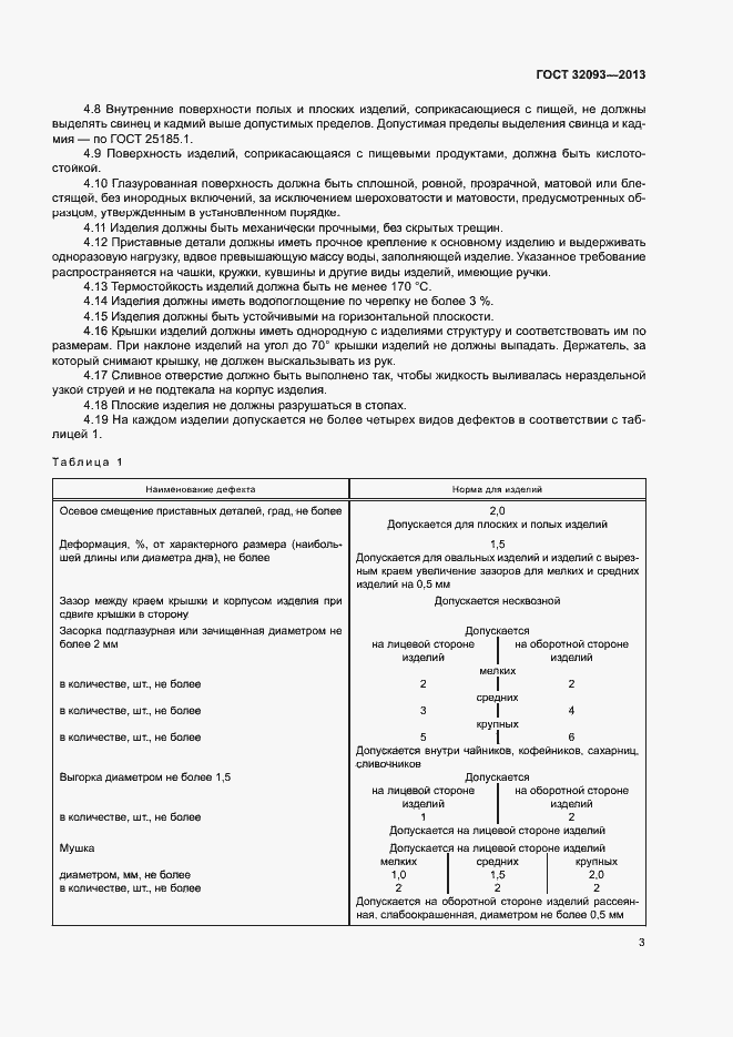
ГОСТ 32093-2013 Посуда керамическая каменная. Технические условия
ГОСТ
Скачать ГОСТ в PDF или DOC бесплатно
Основная информация
Обозначение:
ГОСТ 32093-2013
Статус:
Действует
Тип:
ГОСТ
Название русское:
Посуда керамическая каменная. Технические условия
Название английское:
Stone ware. General specifications
Даты и сроки
Дата регистрации:
06-06-13
Дата издания:
09-27-19
Дата введения в действие:
07-01-14
Дата завершения срока действия:
-
Применение и описание
Область и условия применения:
Настоящий стандарт распространяется на посуду и изделия из каменной керамической массы, отличительной особенностью которых является непрозрачный, слегка пористый окрашенный черепок
Связи и замены
Заменяющий:
-
Описание стандарта
ГОСТ 32093-2013 Посуда керамическая каменная. Технические условия
Страницы стандарта










