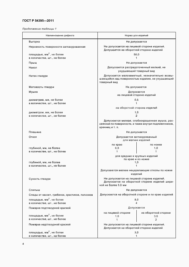
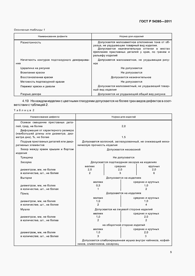
ГОСТ Р 54395-2011 Посуда фаянсовая. Технические условия
ГОСТ Р
Скачать ГОСТ в PDF или DOC бесплатно
Основная информация
Обозначение:
ГОСТ Р 54395-2011
Статус:
Действует
Тип:
ГОСТ Р
Название русское:
Посуда фаянсовая. Технические условия
Название английское:
Faience ware. Specifications
Даты и сроки
Дата издания:
08-27-12
Дата введения в действие:
01-01-13
Дата завершения срока действия:
-
Применение и описание
Область и условия применения:
Настоящий стандарт распространяется на фаянсовую посуду
Связи и замены
Заменяющий:
-
Описание стандарта
ГОСТ Р 54395-2011 Посуда фаянсовая. Технические условия
Страницы стандарта











