ГОСТ Р 53545-2009 Посуда керамическая каменная. Технические условия
ГОСТ Р
Скачать ГОСТ в PDF или DOC бесплатно
Основная информация
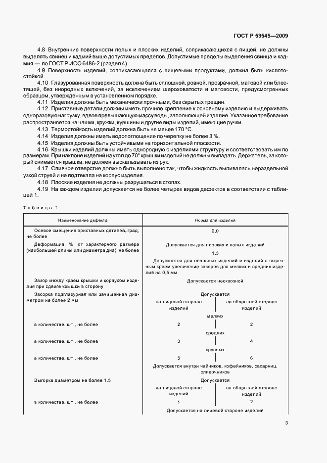
Обозначение:
ГОСТ Р 53545-2009
Статус:
Отменен
Тип:
ГОСТ Р
Название русское:
Посуда керамическая каменная. Технические условия
Название английское:
Stone ware. Specifications
Даты и сроки
Дата издания:
09-09-10
Дата введения в действие:
01-01-11
Дата завершения срока действия:
07-01-15
Применение и описание
Область и условия применения:
Настоящий стандарт распространяется на посуду и изделия из каменной керамической массы, отличительной особенностью которых является непрозрачный, слегка пористый окрашенный черепок
Связи и замены
Заменяющий:
-
Изменения и переиздания
Список изменений:
№0 от (рег. ) «Дата введения перенесена» №0 от (рег. ) «Текстовое изменение; Изменено заглавие»
Описание стандарта
ГОСТ Р 53545-2009 Посуда керамическая каменная. Технические условия
Страницы стандарта













Приложение №2: Поправка к ГОСТ Р 53545-2009 Обозначение: Поправка к ГОСТ Р 53545-2009 Дата введения в действие: 13.07.2011

Приложение №3: Поправка к ГОСТ Р 53545-2009 Обозначение: Поправка к ГОСТ Р 53545-2009 Дата введения в действие: 12.07.2011
